Evolution Starts with Lucy

No, that is what the Church elders later wrote. I mean, without a heaven or hell, who would support them in luxury while the rest of the people worked their asses off to support them? And why would an all powerful Deity need that kind of thing? Would not a person living a life aiding those around him be enough for that Deity? No intercessory needed. I much prefer the Native American's idea of a Deity, a Great Spirit present in all things.
You can like whatever idea you want to. No one is stopping you. But, it won't get you to The Kingdom of God and eternal life inheriting all that our Father and Son have.

A little clarification from the true fullness of the Gospel. After the Resurrection, those who at least accept Jesus Christ as their Lord and Savior, even the really bad people, will not be left in perdition (the real end for those who deny the Holy Ghost). All those who do not deny the Holy Ghost and bow to their knees and accept Jesus as their Lord and Savior will end up in perdition with lucifer (Satan) and his body of fallen angels as spoken of in the book of Revelation. They will be their forever and ever. They have no glory at all. What they do from that point on, don't know and don't care. Most will not be there. Even stupid atheists won't be there as when they are in the judgments seat going through their judgments, they will realize there is in fact a Godhead.

For those who are sent to heaven where there are many mansions as the NT talks about will be raised to one of three glories or resurrected bodies, Celestial, Terrestrial and Telestial. Celestial is the glory of the sun. Terrestrial is the glory of the moon. And the Telestial is the glory of the stars. This, of course, is an analogy, sun, moon, stars. The wicked will be raised to Telestial glory in heaven. The good people who were no always valiant in their testimony of Jesus Christ (Jehovah) will be raised to Terrestrial glory. Those whose testimonies where valiant will be raised to Celestial glory. Only those in the Celestial glory will be able to constantly be with their families. Some will continue to evolve into gods and goddesses as well and create or organize their own universes inheriting all the Father has. Those couples will populate their universes with spirit children and an earth will be created for them too. And, the glorification of God will continue forever and ever. Amen.
 
No, that is what the Church elders later wrote. I mean, without a heaven or hell, who would support them in luxury while the rest of the people worked their asses off to support them? And why would an all powerful Deity need that kind of thing? Would not a person living a life aiding those around him be enough for that Deity? No intercessory needed. I much prefer the Native American's idea of a Deity, a Great Spirit present in all things.
The word "only" is not in any bible I've read. You inserted that trying to make a point that came up false. Nice try...
 
The sun was still showing light enough for Vitamin D. And people eventually did die. God was still in charge. So, that's a mute point.

So your excuse for any scientific objection is "God did it?" Why didn't God just snap his finger like Thanos and have all the bad people disappear? That would seem more

Much went into the earth and scientists have found a vast amount of water in the earth. 3 times that which is on the surface. Science has also found a vast amount of water out in space as well. Google it.

Uh, no, guy, if you are going to make an absurd scientific claim, it's up to you to back it up.

There was plenty in the earth. See above. There was plenty between the sun and the earth. God was also in charge and since he can organized a universe, he most certainly can provide enough water. When you read Genesis, it says it came from the heavens and from the fountains of the deep (the earth's crust)

Actually, your magic thinking aside, the story doesn't really paint your Imaginary Sky Friend in a very good light. His whole purpose was to destroy evil in humanity, but then he admitted that evil would continue in humanity through Noah's descendants.
 
I'm pretty sure humans evolved in parallel. There are bunches of humans just like there are bunches of monkeys.
The evidence shows they did not. They were modern humans first, then they dispersed. They encountered admixture and different selective forces along the way, but the genetic variance among humans is still extremely low. No comparison to separate mnkey species. What evolved "in parallel" were the great ape species.
 
So your excuse for any scientific objection is "God did it?" Why didn't God just snap his finger like Thanos and have all the bad people disappear? That would seem more



Uh, no, guy, if you are going to make an absurd scientific claim, it's up to you to back it up.



Actually, your magic thinking aside, the story doesn't really paint your Imaginary Sky Friend in a very good light. His whole purpose was to destroy evil in humanity, but then he admitted that evil would continue in humanity through Noah's descendants.
You are wrong. Back to the drawing board. His whole purpose was to give his children coming after the opportunity of free moral agency because it had been lost by the people. Today, you get that choice.
 
Same goes for you.

But dont expect to pass any science quizzes.

And expect to get called out for your outright lies about evolution, when in educated company.
The only lie is your brand of evolution. Mine is true.
 
The evidence shows they did not. They were modern humans first, then they dispersed. They encountered admixture and different selective forces along the way, but the genetic variance among humans is still extremely low. No comparison to separate mnkey species. What evolved "in parallel" were the great ape species.

It's more complicated than that. Only in the last 5 years have we begun to understand what to look for. Structural variations in non coding DNA were mostly unstudied till about 2018. The "ancient DNA" studies only started about 2015. There were a lot of unwarranted conclusions drawn from the early studies. That's one of the reasons data science is such a huge and highly paid field right now.

You can look for example at the GenTree database, it tells a different story. Early studies place human divergence from chimps at 7-8 million years, but now data shows that chimp-bonobo divergence is only maybe 500k. One cannot "assume" the tree otherwise it will impact the analysis.

There are less than 20,000 significant structural variations between chimps and humans. But if you base your conclusions on substitutions you'll get 1% of 3 billion. I don't think we know enough yet to be definitive. Concluding age from raw content is a risky business.
 
For example:

Old school: "genetic variability within humans is about 0.1%".

New school:

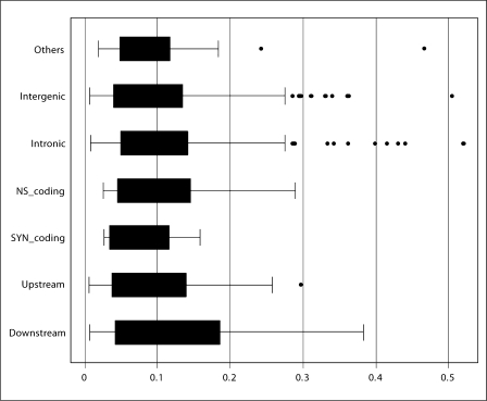
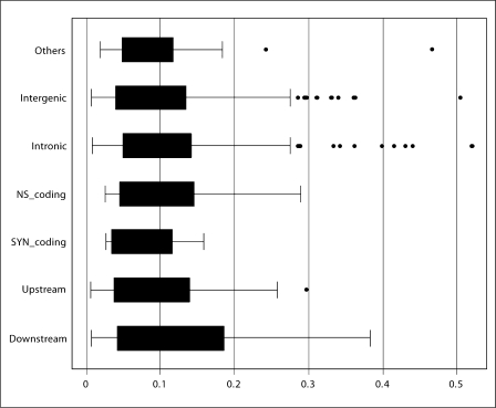
1752206163349.webp
 
A bunch of crap. Humans go pack only 4500 years.
Mm-hm.

You'll notice the little black dots on the right hand side of the image.

They used to call those "outliers", and they used to throw them away.

Now we realize that those dots are the ones that make new species.

You'll notice the categories they appear in: intergenic and intronic.

This takes us back to an earlier post, where I mentioned the non-coding DNA between genes.

It is precisely in these locations that Hox and Sox genes and their relatives bind.

And, we see from the chart that these are the regions with the greatest variability. What does that tell us?

Recall that Hox is the body plan, and Sox is sex determination and organ layout, especially the nervous system which is primarily what differentiates humans.

So regardless of the number of years it took or didn't take, this gives us valuable information. For example, the average height of humans has increased by several inches in the last few hundred years. That's body plan. We continue to evolve even today. Those little black dots are what makes it happen.
 
You are wrong. Back to the drawing board. His whole purpose was to give his children coming after the opportunity of free moral agency because it had been lost by the people. Today, you get that choice.

Did they have that choice before God murdered all of them (including the babies.)

Now, when I was in Catholic School, one of the frustrated lesbians in an ugly dress was talking about the flood, and Fifth-Grade Joey asked the question, "Why did God Drown all the babies?"

The nasty old creature screamed, "Because they were WICKED babies. WICKED!!!!"

Now, as completely brain-dead and stupid as that answer was, I frankly haven't talked to a God-botherer who has given me a rational explanation of how a God who drowns every baby in the world at the time could be considered "Good".
 
The only lie is your brand of evolution. Mine is true.
No, and you are embarrassing yourself and should stay far away from this topic. You have not a shred of evidence, and mountains of mutually supportive evidence stand against your embarrassing lies.

Try it out. Step away from the keyboard and your cult and go find some educated people.
 
Furthermore.... :p

DNA is a sophisticated dynamic system. It isn't just a string of letters. It's strategic, purposeful.

An example is the LINE1 sequence, which is part of the cellular self-repair mechanism.

LINE1 codes for a protein that evolved from a kinase. When it's activated it ends up copying itself to a different location in the genome. This behavior is called "retransposon".

You can envision the number of possible mistakes in such a process, especially since it occurs when the cell is already under attack.

 
It's more complicated than that. Only in the last 5 years have we begun to understand what to look for. Structural variations in non coding DNA were mostly unstudied till about 2018. The "ancient DNA" studies only started about 2015. There were a lot of unwarranted conclusions drawn from the early studies. That's one of the reasons data science is such a huge and highly paid field right now.

You can look for example at the GenTree database, it tells a different story. Early studies place human divergence from chimps at 7-8 million years, but now data shows that chimp-bonobo divergence is only maybe 500k. One cannot "assume" the tree otherwise it will impact the analysis.

There are less than 20,000 significant structural variations between chimps and humans. But if you base your conclusions on substitutions you'll get 1% of 3 billion. I don't think we know enough yet to be definitive. Concluding age from raw content is a risky business.
Yes, I understand it's complicated, but you will always and forever find that the most recent common ancestor of all modern humans was a modern human.
 
No, and you are embarrassing yourself and should stay far away from this topic. You have not a shred of evidence, and mountains of mutually supportive evidence stand against your embarrassing lies.

Try it out. Step away from the keyboard and your cult and go find some educated people.
It's funny to watch evolutionists try to prove their nonsense true. They use fuzzy words in their publications like "maybe"; "possibly"; "could be"; "might be" and so on. You hope to throw out complicated garbage in hopes confusion will create more profit for the grants and other money making stuff you need for research. Even if I presented evidence you would reject it. Just like Democrats reject anything Republicans do good.
1752349009700.webp
 
15th post
Yes, I understand it's complicated, but you will always and forever find that the most recent common ancestor of all modern humans was a modern human.
I don't believe in LUCA. The evidence for evolution is full of examples of multiple and parallel progress. For example phototropy evolved independently at least twice, once in the retinal phototrophs and once in chlorophylls.

One of the interesting things to consider is the environmental factors needed for certain life forms. Humans require an oxygen level in the mid-50's to survive, especially at higher elevations. This wasn't possible till some 400 million years ago.

There are unidirectional changes in the environment which in turn lead back to the results of earlier life forms. It is possible, even likely, that the order of evolution could have been reversed in a different setting.

The fundamental truth about combinatorics is there are multiple experiments. That's what drives the systemic probabilities. All you need for successful evolution is for the number of experiments to outweigh the likelihood of failure. Which is almost always true, there are very few chemical reactions with a near-zero probability.
 
It's funny to watch evolutionists try to prove their nonsense true. They use fuzzy words in their publications like "maybe"; "possibly"; "could be"; "might be" and so on.

The LINE1 gene I mentioned earlier is an excellent case study in DNA dynamics.

This gene copies itself to various locations in the genome, by a mechanism called "retransposition" involving an RNA intermediate.

Every time it copies itself, the new copy is free to mutate and become something else.

Sometimes, the process gets broken and the result is cancer. However about 2% of the time the new gene is beneficial and results in "gain of function".

Part of the equation is WHERE in the genome the new copy inserts itself. It doesn't always happen at gene boundaries. Sometimes it inserts itself in the middle of an existing gene, and the result could be transcriptional deregulation, instability, or even breakage. OR a new and useful protein.

LINE-1 is not just one DNA sequence, there are about 100 members of the family. They all jump around. Most of the time they're tightly regulated, and the frequency of jumping is low. But there are conditions under which the jumping will increase, for one variant or for many.

Cancers are the price we pay for this sophisticated gain of function mechanism. The LINE-1 elements comprise almost 20% of human DNA. (Regular transposons are less than 5%).

Successful retranspositional integration requires the human DNA repair mechanism, which can potentially heal a double stranded break.

This set of jumping genes was only discovered in 1988. We're just now starting to understand the underlying mechanisms.

You can read more about it here:


 
All you need for successful evolution is for the number of experiments to outweigh the likelihood of failure ...

That's one thing we have in massive abundance ... number of experiments ... even today's blue-green algae reproduces every two hours or so ... within billions of failures, we need only one success ...
 
The LINE1 gene I mentioned earlier is an excellent case study in DNA dynamics.

This gene copies itself to various locations in the genome, by a mechanism called "retransposition" involving an RNA intermediate.

Every time it copies itself, the new copy is free to mutate and become something else.

Sometimes, the process gets broken and the result is cancer. However about 2% of the time the new gene is beneficial and results in "gain of function".

Part of the equation is WHERE in the genome the new copy inserts itself. It doesn't always happen at gene boundaries. Sometimes it inserts itself in the middle of an existing gene, and the result could be transcriptional deregulation, instability, or even breakage. OR a new and useful protein.

LINE-1 is not just one DNA sequence, there are about 100 members of the family. They all jump around. Most of the time they're tightly regulated, and the frequency of jumping is low. But there are conditions under which the jumping will increase, for one variant or for many.

Cancers are the price we pay for this sophisticated gain of function mechanism. The LINE-1 elements comprise almost 20% of human DNA. (Regular transposons are less than 5%).

Successful retranspositional integration requires the human DNA repair mechanism, which can potentially heal a double stranded break.

This set of jumping genes was only discovered in 1988. We're just now starting to understand the underlying mechanisms.

You can read more about it here:


So? Still cannot prove a chimp became a human being. Can’t prove what became a tree. Certainly can’t prove algae
Became man.
 

New Topics

Back
Top Bottom