More Strong Evidence for Evolution: Anatomical Vestiges

I use them interchangeably when discussing biological evolution. Should I color myself ignorant?
I consider them to be subtly different. For example (forgive any missed details, I'm writing from memory), in the Grand Canyon, there are sedimentary rocks that overly metamorphic rocks, separated by a discontinuity. The sedimentary rocks were laid down continuously over millions of years. The metamorphic rocks are likely the core of a former mountain range that has long since eroded away. The rocks are discontinuous but none of the fossils found in any of the layers violate the continuity of the tree of life.
 
Kwazy Kweationist Deniers say there's "No evidence".
This is one of the best of an Overwhelming body of such.
People get convicted of crimes, including murder, 'beyond a reasonable doubt' on cases that are not as strong as the one for Evo.
Good circumstantial cases are better than eyewitness ones. The latter being the "proof" kweationists goofily demand.

With these Vestiges, DNA, etc, life can traced to a continuum, with many creatures, including us and other MAMMALS, having anatomical vestiges of our evolutionary ancestors.
An 'immaculate' creation event wouldn't leave useless organs/etc.

Article heavily edited. Only about 5% here, and no pix.

29+ Evidences for Macroevolution
29+ Evidences for Macroevolution: Part 2
Douglas Theobald, Ph.D.
Prediction 2.1: Anatomical vestiges

[....]Geoffroy was at a loss for why exactly nature "always leaves vestiges of an organ", yet he could not deny his empirical observations. Ten years later, Jean-Baptiste Lamarck (1744-1829) identified several vestigial structures in his Zoological Philosophy.​
[....] these "Hypocritical" structures profess something that they do Not do-they clearly appear designed for a certain function which they do Not perform. However, Common Descent provides a scientific explanation for these peculiar structures. Existing species have different structures and perform different functions. If all living organisms descended from a common ancestor, then both functions and structures necessarily have been gained and lost in each lineage during Macroevolutionary history. Therefore, from Common Descent and the constraint of gradualism, we predict that many organisms should retain vestigial structures as structural remnants of lost functions....​
Confirmation:​
.....For example..independent phylogenetic evidence, snakes are known to be the descendants of four-legged reptiles. Most Pythons (legless snakes) carry Vestigial Pelvises hidden beneath their skin.. The Vestigial pelvis in Pythons is Not attached to vertebrae (as the normal case in most vertebrates), and it simply floats in the abdominal cavity. Some lizards carry rudimentary, Vestigial Legs underneath their skin, undetectable from the outside...Many cave dwelling animals, such as the fish Astyanax mexicanus (Mexican tetra)... are blind yet have rudimentary, Vestigial eyes....​
[....]​
The ancestors of Humans are known to have been Herbivorous, and molar teeth are required for chewing and grinding plant material. Over 90% of all adult humans develop third molars (otherwise known as Wisdom Teeth).​
Usually these teeth never erupt from the gums, and in one Third of all individuals they are Malformed and Impacted. These Useless teeth can cause significant pain, increased risk for injury, and may result in illness and even death.
Another Vestige of our Herbivorous ancestry is the vermiform appendix. While this intestinal structure may retain a function of some sort, perhaps in the development of the immune system, it is a rudimentary version of the much larger caecum that is essential for digestion of plants in other mammals..."​
Yet another human Vestigial structure is the Coccyx, the four fused caudal vertebrae found at the base of the spine, exactly where most mammals and many other primates have external Tails protruding from the back. Humans and other apes are some of the only vertebrates that lack an external tail as an adult. The coccyx is a developmental Remnant of the embryonic tail that forms in humans and then is degraded and eaten by our immune system ... Our internal tail is Unnecessary for sitting, walking, and elimination (all of which are functions attributed to the coccyx by many anti-evolutionists). The caudal vertebrae of the coccyx can cause extreme and unnecessary chronic pain in some unfortunate people, a condition called coccydynia. The entire coccyx can be surgically removed without any ill effects..​
[.....]​
Poor development of wisdom teeth is the result of generational poor nutrition leading to poor bone development, including the jawbones. Mine are well developed and intact due to good childhood nutrition, including plenty of whole milk.
 
I consider them to be subtly different. For example (forgive any missed details, I'm writing from memory), in the Grand Canyon, there are sedimentary rocks that overly metamorphic rocks, separated by a discontinuity. The sedimentary rocks were laid down continuously over millions of years. The metamorphic rocks are likely the core of a former mountain range that has long since eroded away. The rocks are discontinuous but none of the fossils found in any of the layers violate the continuity of the tree of life.
1735407789708.webp


You can listen to this academic discussion by visiting the link below:

 
Last edited:
View attachment 1058798

You can listen to this academic discussion by visiting the link below:

I'm familiar with the Cambrian but I don't know what it means to you?
Was it:
  • an act of supernatural creation
  • because of aliens
  • the beginning of life on Earth
  • unique or did it happen at other times in Earth's history
Do you refuse to accept evolution on religious, political, or moral grounds?
 
I'm familiar with the Cambrian but I don't know what it means to you?
Was it:
  • an act of supernatural creation
  • because of aliens
  • the beginning of life on Earth
  • unique or did it happen at other times in Earth's history
Do you refuse to accept evolution on religious, political, or moral grounds?
Those are fair questions.

I used to be an atheist and staunch advocate of evolution, I read lots and understood quite a lot about the subject, I've always been very technically inclined anyway and even studied general relativity at one point. Nowadays I'm a software designer and studied electronics back in the 1980s.

However by my early twenties (partly as a result of studying GR) I began to realize that I had a lot of bias towards a materialist philosophical outlook and admitted to myself that I had accepted some things on trust, there were open questions all around me and I had no good justification for presuming everything had a naturalistic explanation, in fact insisting on a naturalistic explanations leads to paradoxes.

Once I was able to acknowledge that and develop a more open minded attitude towards things it was easier to be critical of things that I had taken on blind faith (like all life evolved from primitive unicellular bacteria for example).

Frankly I just do not know how life came to exist on earth, I do not claim to either but I am totally open to a supernatural event being the cause (because I think that's the only explanation anyway for the existence of the universe itself).

So if I am willing to accept that a supernatural agency can create, then I have no intellectual issue with that explaining life, my choice as to which explanation is now therefore based wholly on evidence.

I do not use political, religious or moral arguments for my current beliefs, they are better described as being rational views based on meaningful evidence without any attachment to an ideology as such, without an insistence that all explanations can be and must be mechanistic (and as I mentioned, such an insistence leads to paradoxes anyway).

The fossil record is a serious problem seemingly irreconcilable with naturalistic explanations and the Cambrian seems like direct evidence of a supernatural event.
 
Last edited:
It's hard to say which part of evolution makes the least sense, that inorganic molecules defied the insurmountable odds to assemble the first cells or that fish developed lungs and lived underwater, above water, who can say, until they found a mutant mate to produce offspring
 
insisting on a naturalistic explanations leads to paradoxes.
And they are?

So if I am willing to accept that a supernatural agency can create, then I have no intellectual issue with that explaining life, my choice as to which explanation is now therefore based wholly on evidence.
So what evidence do you have for a supernatural agency?

I do not use political, religious or moral arguments for my current beliefs, they are better described as being rational views based on meaningful evidence without any attachment to an ideology as such, without an insistence that all explanations can be and must be mechanistic (and as I mentioned, such an insistence leads to paradoxes anyway).

The fossil record is a serious problem seemingly irreconcilable with naturalistic explanations and the Cambrian seems like direct evidence of a supernatural event.
I don't think you're as intellectually honest as you claim. Your "meaningful evidence" is really just, what you see, as a lack evidence for a natural cause. A classic god of the gaps.
 
And they are?
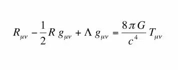
In a nutshell, one cannot use the laws of nature to explain the presence of the laws of nature - we must step outside of laws, cause and effect, determinism. The profound laws embodied in this equation for example, where did they come from? why do these relationships exist at all?

1735414343207.png

So what evidence do you have for a supernatural agency?
In addition to the above, I suggest you explore metaphysics, the reasoning and underpinnings of science to get some ideas of the kinds of things I mean by this. Also read a little, perhaps this small book by the Oxford Professor of mathematics, John Lennox, his book covers some of these things very well.

1735413454326.png

I don't think you're as intellectually honest as you claim.
Well call me a liar if you must.
Your "meaningful evidence" is really just, what you see, as a lack evidence for a natural cause. A classic god of the gaps.
My position is that I have absolutely no reason to presume that everything must have a natural cause, it doesn't bother me (it did at one time) to admit that possibility, if it bothers you then that right there is your own bias at play, you have faith in materialism, faith that all things have a naturalistic explanation. If this wasn't faith then why adopt it? for you cannot prove the claim.

You speak of "God of the gaps" but that's a very naive interpretation of what I've been saying. Nowhere did I express that idea or belief, I do not believe any such thing and never have.

Consider this, is the universe evidence of something? what kind of "thing" could it be evidence of? speculate a little, see where your thoughts take you...
 
Last edited:
In a nutshell, one cannot use the laws of nature to explain the presence of the laws of nature - we must step outside of laws, cause and effect, determinism. The profound laws embodied in this equation for example, where did they come from? why do these relationships exist at all?

View attachment 1058826
I don't know and I'm fine with admitting what I don't know. I have no need to invent an answer.

My position is that I have absolutely no reason to presume that everything must have a natural cause, it doesn't bother me (it did at one time) to admit that possibility, if it bothers you then that right there is your own bias at play, you have faith in materialism, faith that all things have a naturalistic explanation. If this wasn't faith then why adopt it? for you cannot prove the claim.
There is abundant evidence for the natural world. There is none for the supernatural world. I will not believe in what I wish to be true.

You speak of "God of the gaps" but that's a very naive interpretation of what I've been saying. Nowhere did I express that idea or belief, I do not believe any such thing and never have.
Every time you speak of the discontinuity of the fossil record, you are using the "God of the gaps" fallacy. If you don't see that you are, you're not a liar, but not intellectually honest either.

Consider this, is the universe evidence of something? what kind of "thing" could it be evidence of? speculate a little, see where your thoughts take you...
Could be a creator, could be solely natural forces. I'm agnostic here but happy to admit I do not have an answer and distrust anyone who claims they do.
 
Poor development of wisdom teeth is the result of generational poor nutrition leading to poor bone development, including the jawbones. Mine are well developed and intact due to good childhood nutrition, including plenty of whole milk.

AI Overview

Yes, wisdom teeth are an evolutionary remnant:
  • Explanation
    Wisdom teeth, also known as third molars, are an evolutionary leftover from our ancestors who ate tough, uncooked foods like nuts, roots, and raw meats. These teeth were necessary to grind up the food and combat excessive wear on their teeth. However, as Humans Evolved and developed a softer diet, our Jaws Became Smaller and no longer had room for these extra teeth.

  • Vestigial trait
    Wisdom teeth are an example of a Vestigial Trait, which is a trait that served a purpose in ancient humans but is now functionally obsolete due to changes in lifestyle and dietary habits. Other examples of Vestigial traits include the Tailbone and the Palmar Grasp Reflex.

  • Genetics
    The presence or absence of wisdom teeth is influenced by genetics. For example, the prevalence of wisdom teeth varies by population, ranging from nearly 100% in indigenous Mexicans to practically zero in Aboriginal Tasmanians.

  • Impacted wisdom teeth
    The industrial revolution led to a global shift to eating a diet of soft and processed foods, which has increased the incidence of impacted wisdom teeth by ten times. Today, nearly 98% of Adults have their wisdom teeth Removed before age 65.
`
 
Last edited:
I consider them to be subtly different. For example (forgive any missed details, I'm writing from memory), in the Grand Canyon, there are sedimentary rocks that overly metamorphic rocks, separated by a discontinuity. The sedimentary rocks were laid down continuously over millions of years. The metamorphic rocks are likely the core of a former mountain range that has long since eroded away. The rocks are discontinuous but none of the fossils found in any of the layers violate the continuity of the tree of life.
The geologic record contains the fossil record. I don't need a geology lesson. I worked in oil and gas for 38 years. I understand paleogeology.
 
15th post
So this magical lunged fish lived for millions of years before it found a mate?!
Why don't you do a little research instead of blathering?

Lungs started out as a single lung attached to a buccal pump. Amphibians still use this system.

Reptiles can go for a long time without breathing because they have a partitioned lung.

Our system of alternate compression and expansion ("bellows") developed in dinosaurs.

Developmentally, Hox genes are involved in lung bud formation just like they are in body segmentation. Other lung genes include TTF-1, GATA-6, Fox-a2,f1,and j1, FGF-10, BMP-4, and Twist2.

Here, read:

 
 
Our system of alternate compression and expansion ("bellows") developed in dinosaurs.
Not to nit pick but this is not true as we are not descended from dinosaurs. We just share a common ancestor.
 
Kwazy Kweationist Deniers say there's "No evidence".
This is one of the best of an Overwhelming body of such.
People get convicted of crimes, including murder, 'beyond a reasonable doubt' on cases that are not as strong as the one for Evo.
Good circumstantial cases are better than eyewitness ones. The latter being the "proof" kweationists goofily demand.

With these Vestiges, DNA, etc, life can traced to a continuum, with many creatures, including us and other MAMMALS, having anatomical vestiges of our evolutionary ancestors.
An 'immaculate' creation event wouldn't leave useless organs/etc.

Article heavily edited. Only about 5% here, and no pix.

29+ Evidences for Macroevolution
29+ Evidences for Macroevolution: Part 2
Douglas Theobald, Ph.D.
Prediction 2.1: Anatomical vestiges

[....]Geoffroy was at a loss for why exactly nature "always leaves vestiges of an organ", yet he could not deny his empirical observations. Ten years later, Jean-Baptiste Lamarck (1744-1829) identified several vestigial structures in his Zoological Philosophy.
[....] these "Hypocritical" structures profess something that they do Not do-they clearly appear designed for a certain function which they do Not perform. However, Common Descent provides a scientific explanation for these peculiar structures. Existing species have different structures and perform different functions. If all living organisms descended from a common ancestor, then both functions and structures necessarily have been gained and lost in each lineage during Macroevolutionary history. Therefore, from Common Descent and the constraint of gradualism, we predict that many organisms should retain vestigial structures as structural remnants of lost functions....

Confirmation:
.....For example..independent phylogenetic evidence, snakes are known to be the descendants of four-legged reptiles. Most Pythons (legless snakes) carry Vestigial Pelvises hidden beneath their skin.. The Vestigial pelvis in Pythons is Not attached to vertebrae (as the normal case in most vertebrates), and it simply floats in the abdominal cavity. Some lizards carry rudimentary, Vestigial Legs underneath their skin, undetectable from the outside...Many cave dwelling animals, such as the fish Astyanax mexicanus (Mexican tetra)... are blind yet have rudimentary, Vestigial eyes....
[....]
The ancestors of Humans are known to have been Herbivorous, and molar teeth are required for chewing and grinding plant material. Over 90% of all adult humans develop third molars (otherwise known as Wisdom Teeth).
Usually these teeth never erupt from the gums, and in one Third of all individuals they are Malformed and Impacted. These Useless teeth can cause significant pain, increased risk for injury, and may result in illness and even death.

Another Vestige of our Herbivorous ancestry is the vermiform appendix. While this intestinal structure may retain a function of some sort, perhaps in the development of the immune system, it is a rudimentary version of the much larger caecum that is essential for digestion of plants in other mammals..."

Yet another human Vestigial structure is the Coccyx, the four fused caudal vertebrae found at the base of the spine, exactly where most mammals and many other primates have external Tails protruding from the back. Humans and other apes are some of the only vertebrates that lack an external tail as an adult. The coccyx is a developmental Remnant of the embryonic tail that forms in humans and then is degraded and eaten by our immune system ... Our internal tail is Unnecessary for sitting, walking, and elimination (all of which are functions attributed to the coccyx by many anti-evolutionists). The caudal vertebrae of the coccyx can cause extreme and unnecessary chronic pain in some unfortunate people, a condition called coccydynia. The entire coccyx can be surgically removed without any ill effects..
[.....]​

So that 20 inch thing that gets in the way when I walk is a vestige?
 
Back
Top Bottom