Why is gender-nonconformity bad? Alternatively, why must one's gender align with their sex?

why do people not love themselves AS IS?

Why do they feel they have to go through some mutilation in order to... I dunno.. express themselves. I mean if a girl is a tomboy or a guy is effeminate (not gay), no one cares as long as he/she doesn't do perverse stuff. So why go to all that trouble and mutilate yourself when you can be any person you choose without mutilating yourself..? I mean, you can be artistic or non-artistic.. athletic or not.. THAT is who you are.. your interests, your talents.. your desire to help others.. .etc.. Why all the focus on gender? to the point u mutilate yourself?

In other words, why don't people spend time doing (whatever) according to their talents and interests and etc.. instead of obsessing about body parts?
Some people have way too much fashion sense for just one sex. They live in the dazzling world they create ( or not ). It's a blessing for some, everyone's piece of cake and there's nothing wrong with that.
 
Some people have way too much fashion sense for just one sex. They live in the dazzling world they create ( or not ). It's a blessing for some, everyone's piece of cake and there's nothing wrong with that.
playing dress up doesn't change the body parts.
 
playing dress up doesn't change the body parts.
And what difference does that make ? If it even matters, you can change body parts if you wish. Transplants have been occurring since 1954 ( kidney ).
 
Some people have way too much fashion sense for just one sex. They live in the dazzling world they create ( or not ). It's a blessing for some, everyone's piece of cake and there's nothing wrong with that.
It is mortal sin to mutilate yourself. You are showing God by changing your gender that He made a mistake and YOU know better than He.

However, even atheists have respect for nature (the laws therein)
 
It is mortal sin to mutilate yourself. You are showing God by changing your gender that He made a mistake and YOU know better than He.

However, even atheists have respect for nature (the laws therein)
And I guess that would depend on whether you believe in a god at all are in a particular God that found that offensive. The one thing God did give us was a mind and the free will to use it. I don't think any sensible God would be offended by such alterations. God understands the spirit better than the body.
 
It is mortal sin to mutilate yourself. You are showing God by changing your gender that He made a mistake and YOU know better than He.

However, even atheists have respect for nature (the laws therein)
Could one of these guys you're talking about demand that men be circumcised. Or how about the ones that demanded human sacrifices. Or the guy that told the Israelites to destroy every man woman and child even their livestock because of certain people were so evil. We're all about the mutilation of women. Sorry your made up gods for designed to benefit selfish ignorant men.
 
From the life of political perverts

In San Francisco, they decided to introduce an unconditional income for the "middle sex", and now LGBT representatives will receive $1,200 a month just like that. The allowance will be issued for 18 months to "resolve the problem of financial instability in trans communities."
The program is part of a larger effort by San Francisco authorities to provide residents with temporary income in order to combat poverty. It became the first program aimed directly at representatives of the transgender community. Applications for participation in it are currently being accepted.
Today, November 16, the Mayor of San Francisco, London N. Breed, announced the launch of a new guaranteed income program for representatives of the transgender community of the city. The Guaranteed Income for Trans People Program (GIFT) for low-income transgender people will allow you to receive $1,200 monthly for a year and a half. According to the idea of the authorities, this measure should help solve the problem of financial difficulties within the LGBT community.
 
I'll preface this by saying that I have never made a thread on any forum, nor have I explored the CDZ. I read the guidelines for this subsection, and I didn't encounter anything outlining any specific format which these debates must follow, so long as the exchange remains respectful. Thus, if I miss any rules with regards to the creation of this thread, please do tell me.

I will start this thread off with a claim or a series of interrelated claims, followed by definitions with regards to those claim(s), and then I will outline a simple argument justifying those claim(s) What I seek out of this thread is a firm counterargument to one or more of these claims, based in a traditional secular argument.

Claims
  1. Gender is not defined by sex.
  2. Gender-nonconformity is neither irrational nor a mental illness.
  3. There is no secular reason not to accommodate the gender-nonconforming.
Definitions
  1. Sex, defined as the chromosome configuration you are born with.
  2. Gender, defined as the personality traits traditionally associated with one sex or the other (i.e., femininity, masculinity).
  3. Gender-nonconforming, defined as someone that does not align with the gender associated with their sex.
  4. Accommodation, defined as allowing these gender-nonconforming individuals to do anything others within their own gender are allowed to do, given their biology does not offer them a distinct advantage.
  5. Secular, this really shouldn't need to be defined, but some people seem to think "secular" means "atheist." No, it doesn't. Secular means areligious. Religious people can and do make secular arguments, because every argument they make where they do not use religion or spirit as a crutch is a secular argument.
Arguments
  1. Gender is not defined by sex. I'm sure we can agree that it is fundamentally undeniable that biological men and biological women have a set of statistically distinct traits, both physiological and psychological, and that to some extent, these traits are caused by biology. The extent to which they're caused by biology is irrelevant to our purposes here, but what is relevant is the word "statistical." In any group, including humans at-large, there is a statistical norm for any trait you'd like to pick out of the bunch (given that it may be measured numerically). However, that statistical norm is just that: statistical and a norm. Every group on this planet, including the two demographically-dominant sexes, regularly see traits that deviate significantly from the statistical norm.

    Case-in-point: height (see: fig. 1). As shown in this neat little chart, and as you probably already know, biological men are statistically taller than biological women. But a statistically significant chunk of men are shorter than a statistically significant chunk of women.

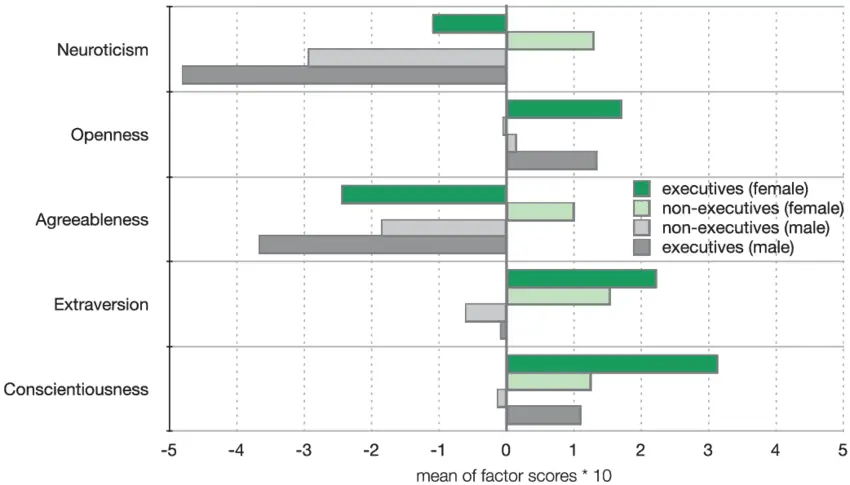
    Now, what does height have to do with gender? Gender is not synonymous with sex. Even if you are to claim that gender must align with someone's sex, the two are not the same. Gender is a set of traits that we traditionally associate with one sex or another, often pertaining to personality. As in, "men are assertive." Or, "women are neurotic." These two statements are provably true (See: fig. 2), just like sex-height claims, assuming that they are statistical statements, not absolute statements. Men are indeed more assertive. Women indeed are more neurotic. But the thing is, not all men are assertive. And not all women are neurotic. Just like with height, there is a great deal of overlap between the sexes, and there lay the issue of claiming that gender must align with one's sex.

    If a biological female's personality traits firmly fall inside the "masculine" box, and they believe the associations made with the term "male" and the pronouns "he/him" more accurately fit them, how is that wrong? I'd argue it isn't, because this individual's gender, their personality--every visible and relevant trait--goes against the gender they were assigned at birth. This is statistically evident through basic trait variance. Therefore, gender is not defined by sex.
  2. Gender-nonconformity is neither irrational nor a mental illness. Assuming that the prior claim is true, it cannot be reasonably claimed that being gender-nonconforming is in itself irrational, given that there is no intrinsic part of gender-nonconformity that does not comport with reality. However, the topic of mental illness is completely different.

    I will start by saying there is a distinction between gender dysphoria and gender nonconformity. Gender-nonconformity is exactly how I defined it, but gender dysphoria is when the misalignment between your assigned gender and your perceived gender causes distress. Gender dysphoria is therefore a mental illness, not because gender-nonconformity is a mental illness, but rather because of the anxiety and depression that some face in light of this misalignment. The solution to mental illnesses, if possible, is to address the route cause, not to squash the symptoms; in this case, the route cause is that misalignment, so the solution is the rectification of that misalignment. Therefore, gender-nonconformity is neither irrational nor a mental illness.
  3. Last but not least, there is no secular reason not to accommodate the gender-nonconforming. A "secular" reason, in my mind, is any reason guided by enlightenment rationality. Appeals to authority do not fall under "secular" reasoning, and quoting a religious text as a reason is an appeal to authority. While I am not denying the right of the individual to accept whomever they'd like into their lives, and to refer to others how they wish within the confines of their own property, my claim here is that non-accommodation of the gender-nonconforming has no rational basis.

    The reasoning here is simple. If one is to do something entirely rational, as follows in my second claim, and this rational action does not impose itself on the well-being of others, others can not rationally act in a discriminatory manner against them. The same applies to the assumption of an identity which does not associate itself with actions that are either irrational and/or impose themselves on the well-being of others. Gender-nonconformity is not irrational, as per the second argument, and it does not intrinsically harm the well-being of others, therefore there is no secular reason not to accommodate the gender-nonconforming.
Images

Figure 1: Relationship between height and biological sex
View attachment 551503

Figure 2: Relationship between big five personality and gender, compared between executives and non-executives
View attachment 551470

Notes (edited in after the fact, because this dumb **** accidentally posted this early)
  1. I will be using the big five personality measurements and the data regarding that as my back-up for any personality-related claims or arguments. Not only is it the most respected in the scientific community, it also has been thoroughly researched on many fronts, and that wealth of statistics is very useful for the purposes of an argument. Read more about it here.

    Yes, this is a Wikipedia page. If you request a more direct source, I will provide you one.
Seek psychological help. You CLEARLY need it
 
From the life of political perverts

In San Francisco, they decided to introduce an unconditional income for the "middle sex", and now LGBT representatives will receive $1,200 a month just like that. The allowance will be issued for 18 months to "resolve the problem of financial instability in trans communities."
The program is part of a larger effort by San Francisco authorities to provide residents with temporary income in order to combat poverty. It became the first program aimed directly at representatives of the transgender community. Applications for participation in it are currently being accepted.
Today, November 16, the Mayor of San Francisco, London N. Breed, announced the launch of a new guaranteed income program for representatives of the transgender community of the city. The Guaranteed Income for Trans People Program (GIFT) for low-income transgender people will allow you to receive $1,200 monthly for a year and a half. According to the idea of the authorities, this measure should help solve the problem of financial difficulties within the LGBT community.
So how many straight people showed up to collect ?
 
I don't have a problem with gender non-conformity. People can "identify" as whatever they want. That said, I might just "identify" them as deluded nitwits.
 
I don't have a problem with gender non-conformity. People can "identify" as whatever they want. That said, I might just "identify" them as deluded nitwits.
Or the people who condemn them should more properly he called the deluded ignorant nitwits. Remember Joan of Arc, she was definitely gender different. Remember the 50s they called athletic girls " tomboys ", many of them or gender different. The more than 1 million third gender Hijras in India have existed since antiquity, they are gender different. Many native American tribes paid special honor to their gender different men. Only the bravest of the braves were allowed to take a male bride. And many cultures third gender is honored or even sacred position in society. We seem to be one of the fullest societies that don't appreciate all of its people especially the special ones. That's a shame. Hopefully we will get over it. The world would be a very boring place if w were all the same. GOD created this world with so much diversity and beauty, it would be in its nature to create that in mankind also. GOD doesn't make mistakes, but people unfortunately often do.
 
. The world would be a very boring place if w were all the same.
It is not all the same. There are Men and Women. And women alone are enough to satisfy those, who want diversity. They are handful.
 
Definitely !
Well, in my own circle of friends, roughly 1/3 of the adolescent kids are, supposedly, experiencing "gender dysphoria". While I don't dismiss the condition, and in no way condemn those show suffer from it, I don't think that's a realistic representation. To put it bluntly, it's become a fad. It's being offered up to vulnerable, confused kids as a way to be "special" - and I do condemn that. That's people putting woke politics above the well-being of children.
 
15th post
If that were true then bisexual and heterosexual sexual orientations would not exist. GOD was super intelligent in it's design of mankind ; creating these variations to compensate for the lack of restraint of the heterosexuals.
 
I'll preface this by saying that I have never made a thread on any forum, nor have I explored the CDZ. I read the guidelines for this subsection, and I didn't encounter anything outlining any specific format which these debates must follow, so long as the exchange remains respectful. Thus, if I miss any rules with regards to the creation of this thread, please do tell me.

I will start this thread off with a claim or a series of interrelated claims, followed by definitions with regards to those claim(s), and then I will outline a simple argument justifying those claim(s) What I seek out of this thread is a firm counterargument to one or more of these claims, based in a traditional secular argument.

Claims
  1. Gender is not defined by sex.
  2. Gender-nonconformity is neither irrational nor a mental illness.
  3. There is no secular reason not to accommodate the gender-nonconforming.
Definitions
  1. Sex, defined as the chromosome configuration you are born with.
  2. Gender, defined as the personality traits traditionally associated with one sex or the other (i.e., femininity, masculinity).
  3. Gender-nonconforming, defined as someone that does not align with the gender associated with their sex.
  4. Accommodation, defined as allowing these gender-nonconforming individuals to do anything others within their own gender are allowed to do, given their biology does not offer them a distinct advantage.
  5. Secular, this really shouldn't need to be defined, but some people seem to think "secular" means "atheist." No, it doesn't. Secular means areligious. Religious people can and do make secular arguments, because every argument they make where they do not use religion or spirit as a crutch is a secular argument.
Arguments
  1. Gender is not defined by sex. I'm sure we can agree that it is fundamentally undeniable that biological men and biological women have a set of statistically distinct traits, both physiological and psychological, and that to some extent, these traits are caused by biology. The extent to which they're caused by biology is irrelevant to our purposes here, but what is relevant is the word "statistical." In any group, including humans at-large, there is a statistical norm for any trait you'd like to pick out of the bunch (given that it may be measured numerically). However, that statistical norm is just that: statistical and a norm. Every group on this planet, including the two demographically-dominant sexes, regularly see traits that deviate significantly from the statistical norm.

    Case-in-point: height (see: fig. 1). As shown in this neat little chart, and as you probably already know, biological men are statistically taller than biological women. But a statistically significant chunk of men are shorter than a statistically significant chunk of women.

    Now, what does height have to do with gender? Gender is not synonymous with sex. Even if you are to claim that gender must align with someone's sex, the two are not the same. Gender is a set of traits that we traditionally associate with one sex or another, often pertaining to personality. As in, "men are assertive." Or, "women are neurotic." These two statements are provably true (See: fig. 2), just like sex-height claims, assuming that they are statistical statements, not absolute statements. Men are indeed more assertive. Women indeed are more neurotic. But the thing is, not all men are assertive. And not all women are neurotic. Just like with height, there is a great deal of overlap between the sexes, and there lay the issue of claiming that gender must align with one's sex.

    If a biological female's personality traits firmly fall inside the "masculine" box, and they believe the associations made with the term "male" and the pronouns "he/him" more accurately fit them, how is that wrong? I'd argue it isn't, because this individual's gender, their personality--every visible and relevant trait--goes against the gender they were assigned at birth. This is statistically evident through basic trait variance. Therefore, gender is not defined by sex.
  2. Gender-nonconformity is neither irrational nor a mental illness. Assuming that the prior claim is true, it cannot be reasonably claimed that being gender-nonconforming is in itself irrational, given that there is no intrinsic part of gender-nonconformity that does not comport with reality. However, the topic of mental illness is completely different.

    I will start by saying there is a distinction between gender dysphoria and gender nonconformity. Gender-nonconformity is exactly how I defined it, but gender dysphoria is when the misalignment between your assigned gender and your perceived gender causes distress. Gender dysphoria is therefore a mental illness, not because gender-nonconformity is a mental illness, but rather because of the anxiety and depression that some face in light of this misalignment. The solution to mental illnesses, if possible, is to address the route cause, not to squash the symptoms; in this case, the route cause is that misalignment, so the solution is the rectification of that misalignment. Therefore, gender-nonconformity is neither irrational nor a mental illness.
  3. Last but not least, there is no secular reason not to accommodate the gender-nonconforming. A "secular" reason, in my mind, is any reason guided by enlightenment rationality. Appeals to authority do not fall under "secular" reasoning, and quoting a religious text as a reason is an appeal to authority. While I am not denying the right of the individual to accept whomever they'd like into their lives, and to refer to others how they wish within the confines of their own property, my claim here is that non-accommodation of the gender-nonconforming has no rational basis.

    The reasoning here is simple. If one is to do something entirely rational, as follows in my second claim, and this rational action does not impose itself on the well-being of others, others can not rationally act in a discriminatory manner against them. The same applies to the assumption of an identity which does not associate itself with actions that are either irrational and/or impose themselves on the well-being of others. Gender-nonconformity is not irrational, as per the second argument, and it does not intrinsically harm the well-being of others, therefore there is no secular reason not to accommodate the gender-nonconforming.
Images

Figure 1: Relationship between height and biological sex
View attachment 551503

Figure 2: Relationship between big five personality and gender, compared between executives and non-executives
View attachment 551470

Notes (edited in after the fact, because this dumb **** accidentally posted this early)
  1. I will be using the big five personality measurements and the data regarding that as my back-up for any personality-related claims or arguments. Not only is it the most respected in the scientific community, it also has been thoroughly researched on many fronts, and that wealth of statistics is very useful for the purposes of an argument. Read more about it here.

    Yes, this is a Wikipedia page. If you request a more direct source, I will provide you one.


1) it is a sign of mental illness.

2) Those who push it want to inflict it on children through the education system, encouraging them to take on the symptoms of gender dysphoria.
 
1) it is a sign of mental illness.

2) Those who push it want to inflict it on children through the education system, encouraging them to take on the symptoms of gender dysphoria.
1. It is perfectly normal. 2.
 
1. It is perfectly normal. 2.
1. It is perfectly normal for those people. 2, you are traumatizing the children who are transgender; it's not a choice, it's who they are.
 
Back
Top Bottom