Why is gender-nonconformity bad? Alternatively, why must one's gender align with their sex?

yumegari

Active Member
Joined
Oct 10, 2021
Messages
105
Reaction score
72
Points
33
Location
United States
I'll preface this by saying that I have never made a thread on any forum, nor have I explored the CDZ. I read the guidelines for this subsection, and I didn't encounter anything outlining any specific format which these debates must follow, so long as the exchange remains respectful. Thus, if I miss any rules with regards to the creation of this thread, please do tell me.

I will start this thread off with a claim or a series of interrelated claims, followed by definitions with regards to those claim(s), and then I will outline a simple argument justifying those claim(s) What I seek out of this thread is a firm counterargument to one or more of these claims, based in a traditional secular argument.

Claims
  1. Gender is not defined by sex.
  2. Gender-nonconformity is neither irrational nor a mental illness.
  3. There is no secular reason not to accommodate the gender-nonconforming.
Definitions
  1. Sex, defined as the chromosome configuration you are born with.
  2. Gender, defined as the personality traits traditionally associated with one sex or the other (i.e., femininity, masculinity).
  3. Gender-nonconforming, defined as someone that does not align with the gender associated with their sex.
  4. Accommodation, defined as allowing these gender-nonconforming individuals to do anything others within their own gender are allowed to do, given their biology does not offer them a distinct advantage.
  5. Secular, this really shouldn't need to be defined, but some people seem to think "secular" means "atheist." No, it doesn't. Secular means areligious. Religious people can and do make secular arguments, because every argument they make where they do not use religion or spirit as a crutch is a secular argument.
Arguments
  1. Gender is not defined by sex. I'm sure we can agree that it is fundamentally undeniable that biological men and biological women have a set of statistically distinct traits, both physiological and psychological, and that to some extent, these traits are caused by biology. The extent to which they're caused by biology is irrelevant to our purposes here, but what is relevant is the word "statistical." In any group, including humans at-large, there is a statistical norm for any trait you'd like to pick out of the bunch (given that it may be measured numerically). However, that statistical norm is just that: statistical and a norm. Every group on this planet, including the two demographically-dominant sexes, regularly see traits that deviate significantly from the statistical norm.

    Case-in-point: height (see: fig. 1). As shown in this neat little chart, and as you probably already know, biological men are statistically taller than biological women. But a statistically significant chunk of men are shorter than a statistically significant chunk of women.

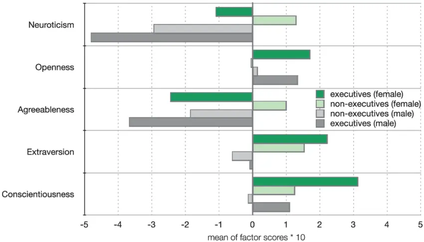
    Now, what does height have to do with gender? Gender is not synonymous with sex. Even if you are to claim that gender must align with someone's sex, the two are not the same. Gender is a set of traits that we traditionally associate with one sex or another, often pertaining to personality. As in, "men are assertive." Or, "women are neurotic." These two statements are provably true (See: fig. 2), just like sex-height claims, assuming that they are statistical statements, not absolute statements. Men are indeed more assertive. Women indeed are more neurotic. But the thing is, not all men are assertive. And not all women are neurotic. Just like with height, there is a great deal of overlap between the sexes, and there lay the issue of claiming that gender must align with one's sex.

    If a biological female's personality traits firmly fall inside the "masculine" box, and they believe the associations made with the term "male" and the pronouns "he/him" more accurately fit them, how is that wrong? I'd argue it isn't, because this individual's gender, their personality--every visible and relevant trait--goes against the gender they were assigned at birth. This is statistically evident through basic trait variance. Therefore, gender is not defined by sex.
  2. Gender-nonconformity is neither irrational nor a mental illness. Assuming that the prior claim is true, it cannot be reasonably claimed that being gender-nonconforming is in itself irrational, given that there is no intrinsic part of gender-nonconformity that does not comport with reality. However, the topic of mental illness is completely different.

    I will start by saying there is a distinction between gender dysphoria and gender nonconformity. Gender-nonconformity is exactly how I defined it, but gender dysphoria is when the misalignment between your assigned gender and your perceived gender causes distress. Gender dysphoria is therefore a mental illness, not because gender-nonconformity is a mental illness, but rather because of the anxiety and depression that some face in light of this misalignment. The solution to mental illnesses, if possible, is to address the route cause, not to squash the symptoms; in this case, the route cause is that misalignment, so the solution is the rectification of that misalignment. Therefore, gender-nonconformity is neither irrational nor a mental illness.
  3. Last but not least, there is no secular reason not to accommodate the gender-nonconforming. A "secular" reason, in my mind, is any reason guided by enlightenment rationality. Appeals to authority do not fall under "secular" reasoning, and quoting a religious text as a reason is an appeal to authority. While I am not denying the right of the individual to accept whomever they'd like into their lives, and to refer to others how they wish within the confines of their own property, my claim here is that non-accommodation of the gender-nonconforming has no rational basis.

    The reasoning here is simple. If one is to do something entirely rational, as follows in my second claim, and this rational action does not impose itself on the well-being of others, others can not rationally act in a discriminatory manner against them. The same applies to the assumption of an identity which does not associate itself with actions that are either irrational and/or impose themselves on the well-being of others. Gender-nonconformity is not irrational, as per the second argument, and it does not intrinsically harm the well-being of others, therefore there is no secular reason not to accommodate the gender-nonconforming.
Images

Figure 1: Relationship between height and biological sex
1634176508815.png


Figure 2: Relationship between big five personality and gender, compared between executives and non-executives
1634173334293.png


Notes (edited in after the fact, because this dumb **** accidentally posted this early)
  1. I will be using the big five personality measurements and the data regarding that as my back-up for any personality-related claims or arguments. Not only is it the most respected in the scientific community, it also has been thoroughly researched on many fronts, and that wealth of statistics is very useful for the purposes of an argument. Read more about it here.

    Yes, this is a Wikipedia page. If you request a more direct source, I will provide you one.
 
Last edited:
I believe you can be a man, say, and wind up with a girl's brain, or visa versa.



What do you do in that case?
 
Like always, with the left, it's a play on words.........gender, fetus, etc., etc.
Definitions are pretty relevant, to be fair. I am totally open to you proposing alternative definitions, but even if you change the definitions that doesn't really change my argument. At all, really. The definitions just make my argument easier to describe.
 
I believe you can be a man, say, and wind up with a girl's brain, or visa versa.



What do you do in that case?
That's where gender-nonconformity comes in, my friend. A misalignment between one's biology, and the personality traits that might otherwise be associated with that biology.
 
They choose one ....don't you think?
( yuck)
 
The suicide rate for transgenders is almost 40%, I can see why after reading this obsessive paranoid dribble.
Where is the obsession? Where is the paranoia? Where is the dribble?

Also, why are suicide rates relevant to this argument? Throughout history, there has been variation in the suicide rates of many groups, some higher than others. Almost universally, the suicide rate being higher among one group than the other is very easily explained by social factors. I cannot think of an example outside of that.
I am saying it. :)

Male or female, the way you were born, that's all the identification you need.
So why is my argument wrong? You're making a claim, which I thoroughly argued against in my claim. Did you read my argument? If not, then you shouldn't be posting here, this is a section for debate. If so, then you should be justifying your claim, this is a section for debate.
 
Where is the obsession? Where is the paranoia? Where is the dribble?

Also, why are suicide rates relevant to this argument? Throughout history, there has been variation in the suicide rates of many groups, some higher than others. Almost universally, the suicide rate being higher among one group than the other is very easily explained by social factors. I cannot think of an example outside of that.

So why is my argument wrong? You're making a claim, which I thoroughly argued against in my claim. Did you read my argument? If not, then you shouldn't be posting here, this is a section for debate. If so, then you should be justifying your claim, this is a section for debate.
People have their opinions, and they may not agree with you, and they may not want to take the time to engage with YOU.
But, they have every right to post in your thread as long as it's within the parameters of our posting guidelines.
My biggest issue is the transgenders crossing over to women sports, not sure I read where you addressed that.
 
I'll preface this by saying that I have never made a thread on any forum, nor have I explored the CDZ. I read the guidelines for this subsection, and I didn't encounter anything outlining any specific format which these debates must follow, so long as the exchange remains respectful. Thus, if I miss any rules with regards to the creation of this thread, please do tell me.

I will start this thread off with a claim or a series of interrelated claims, followed by definitions with regards to those claim(s), and then I will outline a simple argument justifying those claim(s) What I seek out of this thread is a firm counterargument to one or more of these claims, based in a traditional secular argument.

Claims
  1. Gender is not defined by sex.
  2. Gender-nonconformity is neither irrational nor a mental illness.
  3. There is no secular reason not to accommodate the gender-nonconforming.
Definitions
  1. Sex, defined as the chromosome configuration you are born with.
  2. Gender, defined as the personality traits traditionally associated with one sex or the other (i.e., femininity, masculinity).
  3. Gender-nonconforming, defined as someone that does not align with the gender associated with their sex.
  4. Accommodation, defined as allowing these gender-nonconforming individuals to do anything others within their own gender are allowed to do, given their biology does not offer them a distinct advantage.
  5. Secular, this really shouldn't need to be defined, but some people seem to think "secular" means "atheist." No, it doesn't. Secular means areligious. Religious people can and do make secular arguments, because every argument they make where they do not use religion or spirit as a crutch is a secular argument.
Arguments
  1. Gender is not defined by sex. I'm sure we can agree that it is fundamentally undeniable that biological men and biological women have a set of statistically distinct traits, both physiological and psychological, and that to some extent, these traits are caused by biology. The extent to which they're caused by biology is irrelevant to our purposes here, but what is relevant is the word "statistical." In any group, including humans at-large, there is a statistical norm for any trait you'd like to pick out of the bunch (given that it may be measured numerically). However, that statistical norm is just that: statistical and a norm. Every group on this planet, including the two demographically-dominant sexes, regularly see traits that deviate significantly from the statistical norm.

    Case-in-point: height (see: fig. 1). As shown in this neat little chart, and as you probably already know, biological men are statistically taller than biological women. But a statistically significant chunk of men are shorter than a statistically significant chunk of women.

    Now, what does height have to do with gender? Gender is not synonymous with sex. Even if you are to claim that gender must align with someone's sex, the two are not the same. Gender is a set of traits that we traditionally associate with one sex or another, often pertaining to personality. As in, "men are assertive." Or, "women are neurotic." These two statements are provably true (See: fig. 2), just like sex-height claims, assuming that they are statistical statements, not absolute statements. Men are indeed more assertive. Women indeed are more neurotic. But the thing is, not all men are assertive. And not all women are neurotic. Just like with height, there is a great deal of overlap between the sexes, and there lay the issue of claiming that gender must align with one's sex.

    If a biological female's personality traits firmly fall inside the "masculine" box, and they believe the associations made with the term "male" and the pronouns "he/him" more accurately fit them, how is that wrong? I'd argue it isn't, because this individual's gender, their personality--every visible and relevant trait--goes against the gender they were assigned at birth. This is statistically evident through basic trait variance. Therefore, gender is not defined by sex.
  2. Gender-nonconformity is neither irrational nor a mental illness. Assuming that the prior claim is true, it cannot be reasonably claimed that being gender-nonconforming is in itself irrational, given that there is no intrinsic part of gender-nonconformity that does not comport with reality. However, the topic of mental illness is completely different.

    I will start by saying there is a distinction between gender dysphoria and gender nonconformity. Gender conformity is exactly how I defined it, but gender dysphoria is when the misalignment between your assigned gender and your perceived gender causes distress. Gender dysphoria is therefore a mental illness, not because gender-nonconformity is a mental illness, but rather because of the anxiety and depression that some face in light of this misalignment. The solution to mental illnesses, if possible, is to address the route cause, not to squash the symptoms; in this case, the route cause is that misalignment, so the solution is the rectification of that misalignment. Therefore, gender-nonconformity is neither irrational nor a mental illness.
  3. Last but not least, there is no secular reason not to accommodate the gender-nonconforming. A "secular" reason, in my mind, is any reason guided by enlightenment rationality. Appeals to authority do not fall under "secular" reasoning, and quoting a religious text as a reason is an appeal to authority. While I am not denying the right of the individual to accept whomever they'd like into their lives, and to refer to others how they wish within the confines of their own property, my claim here is that non-accommodation of the gender-nonconforming has no rational basis.

    The reasoning here is simple. If one is to do something entirely rational, as follows in my second claim, and this rational action does not impose itself on the well-being of others, others can not rationally act in a discriminatory manner against them. The same applies to the assumption of an identity which does not associate itself with actions that are either irrational and/or impose themselves on the well-being of others. Gender-nonconformity is not irrational, as per the second argument, and it does not intrinsically harm the well-being of others, therefore there is no secular reason not to accommodate the gender-nonconforming.
Images

Figure 1: Relationship between height and biological sex
View attachment 551503

Figure 2: Relationship between big five personality and gender, compared between executives and non-executives
View attachment 551470

Notes (edited in after the fact, because this dumb **** accidentally posted this early)
  1. I will be using the big five personality measurements and the data regarding that as my back-up for any personality-related claims or arguments. Not only is it the most respected in the scientific community, it also has been thoroughly researched on many fronts, and that wealth of statistics is very useful for the purposes of an argument. Read more about it here.

    Yes, this is a Wikipedia page. If you request a more direct source, I will provide you one.
Traits do not define a person.
That's bullshit.
That's allowing the culture to define you.


So try again with something else.
 
15th post
I have no problem with individuals who like to "believe" that despite being born with the XY chromosomes, they consider themselves female or some other......thing.? Those individuals can live however they like. What I do not agree with is that we are supposed to be required to play "pretend" along with them. I also draw the line with those that insist that as individuals, they be referred to as...."they, those and them." Should I run into one of those nut-jobs, I will inform them that as soon as they perform binary fission, as does the ameba, right then and there, I will at that time, refer to such as "they or them." As they cannot and they are in actuality an individual entity, I will only refer to them in the singular form. If they wish to throw a childish tantrum over it, I don't care.
If one were to trace the latter's reason for this stance, it will no doubt be found coming out of their local college or university professors, pushing it as part of their, divide the nation goal.
 
Gender non-conformity is not "bad", it's impossible.

A person can only be one gender or the other, that which they were born with. Of course there is that occasional hermaphrodite, but those are rarely-occurring freaks of nature.
The wacko libbies think sexuality is another dumb game they can play with. They will pay heavily for their blasphemy of Nature.
 
The wacko libbies think sexuality is another dumb game they can play with. They will pay heavily for their blasphemy of Nature.

What the left practices should be called "crimes against nature." A person can no more be non-conforming to their gender, than they can be non-conforming to their species.

I can't just wake up one morning and decide that I want to be a horse.
 
I'll preface this by saying that I have never made a thread on any forum, nor have I explored the CDZ. I read the guidelines for this subsection, and I didn't encounter anything outlining any specific format which these debates must follow, so long as the exchange remains respectful. Thus, if I miss any rules with regards to the creation of this thread, please do tell me.

I will start this thread off with a claim or a series of interrelated claims, followed by definitions with regards to those claim(s), and then I will outline a simple argument justifying those claim(s) What I seek out of this thread is a firm counterargument to one or more of these claims, based in a traditional secular argument.

Claims
  1. Gender is not defined by sex.
  2. Gender-nonconformity is neither irrational nor a mental illness.
  3. There is no secular reason not to accommodate the gender-nonconforming.
Definitions
  1. Sex, defined as the chromosome configuration you are born with.
  2. Gender, defined as the personality traits traditionally associated with one sex or the other (i.e., femininity, masculinity).
  3. Gender-nonconforming, defined as someone that does not align with the gender associated with their sex.
  4. Accommodation, defined as allowing these gender-nonconforming individuals to do anything others within their own gender are allowed to do, given their biology does not offer them a distinct advantage.
  5. Secular, this really shouldn't need to be defined, but some people seem to think "secular" means "atheist." No, it doesn't. Secular means areligious. Religious people can and do make secular arguments, because every argument they make where they do not use religion or spirit as a crutch is a secular argument.
Arguments
  1. Gender is not defined by sex. I'm sure we can agree that it is fundamentally undeniable that biological men and biological women have a set of statistically distinct traits, both physiological and psychological, and that to some extent, these traits are caused by biology. The extent to which they're caused by biology is irrelevant to our purposes here, but what is relevant is the word "statistical." In any group, including humans at-large, there is a statistical norm for any trait you'd like to pick out of the bunch (given that it may be measured numerically). However, that statistical norm is just that: statistical and a norm. Every group on this planet, including the two demographically-dominant sexes, regularly see traits that deviate significantly from the statistical norm.

    Case-in-point: height (see: fig. 1). As shown in this neat little chart, and as you probably already know, biological men are statistically taller than biological women. But a statistically significant chunk of men are shorter than a statistically significant chunk of women.

    Now, what does height have to do with gender? Gender is not synonymous with sex. Even if you are to claim that gender must align with someone's sex, the two are not the same. Gender is a set of traits that we traditionally associate with one sex or another, often pertaining to personality. As in, "men are assertive." Or, "women are neurotic." These two statements are provably true (See: fig. 2), just like sex-height claims, assuming that they are statistical statements, not absolute statements. Men are indeed more assertive. Women indeed are more neurotic. But the thing is, not all men are assertive. And not all women are neurotic. Just like with height, there is a great deal of overlap between the sexes, and there lay the issue of claiming that gender must align with one's sex.

    If a biological female's personality traits firmly fall inside the "masculine" box, and they believe the associations made with the term "male" and the pronouns "he/him" more accurately fit them, how is that wrong? I'd argue it isn't, because this individual's gender, their personality--every visible and relevant trait--goes against the gender they were assigned at birth. This is statistically evident through basic trait variance. Therefore, gender is not defined by sex.
  2. Gender-nonconformity is neither irrational nor a mental illness. Assuming that the prior claim is true, it cannot be reasonably claimed that being gender-nonconforming is in itself irrational, given that there is no intrinsic part of gender-nonconformity that does not comport with reality. However, the topic of mental illness is completely different.

    I will start by saying there is a distinction between gender dysphoria and gender nonconformity. Gender-nonconformity is exactly how I defined it, but gender dysphoria is when the misalignment between your assigned gender and your perceived gender causes distress. Gender dysphoria is therefore a mental illness, not because gender-nonconformity is a mental illness, but rather because of the anxiety and depression that some face in light of this misalignment. The solution to mental illnesses, if possible, is to address the route cause, not to squash the symptoms; in this case, the route cause is that misalignment, so the solution is the rectification of that misalignment. Therefore, gender-nonconformity is neither irrational nor a mental illness.
  3. Last but not least, there is no secular reason not to accommodate the gender-nonconforming. A "secular" reason, in my mind, is any reason guided by enlightenment rationality. Appeals to authority do not fall under "secular" reasoning, and quoting a religious text as a reason is an appeal to authority. While I am not denying the right of the individual to accept whomever they'd like into their lives, and to refer to others how they wish within the confines of their own property, my claim here is that non-accommodation of the gender-nonconforming has no rational basis.

    The reasoning here is simple. If one is to do something entirely rational, as follows in my second claim, and this rational action does not impose itself on the well-being of others, others can not rationally act in a discriminatory manner against them. The same applies to the assumption of an identity which does not associate itself with actions that are either irrational and/or impose themselves on the well-being of others. Gender-nonconformity is not irrational, as per the second argument, and it does not intrinsically harm the well-being of others, therefore there is no secular reason not to accommodate the gender-nonconforming.
Images

Figure 1: Relationship between height and biological sex
View attachment 551503

Figure 2: Relationship between big five personality and gender, compared between executives and non-executives
View attachment 551470

Notes (edited in after the fact, because this dumb **** accidentally posted this early)
  1. I will be using the big five personality measurements and the data regarding that as my back-up for any personality-related claims or arguments. Not only is it the most respected in the scientific community, it also has been thoroughly researched on many fronts, and that wealth of statistics is very useful for the purposes of an argument. Read more about it here.

    Yes, this is a Wikipedia page. If you request a more direct source, I will provide you one.
Validating ‘transgenderism’ should be a very simple process that shouldn’t require big fancy words or loose theories.
Just tell us where all these trans people were before the Left made ‘fucked in the head’ cool. The bearded woman at the circus doesn’t count.
 

New Topics

Back
Top Bottom