So now a simple accusation true or false can jail Trump

Wrong.
The "centuries of established judicial procedure" is that you can not charge candidates, and you can not impose gag orders on the motivation, only the content when it could prejudice the jury pool.
But in these cases, there should be no jury pool.
The cases are ridiculous.
And the prosecution is not following the same gag order rules, and is trying the cases in the press, illegally.
The doj rule for them is no public moves by Doj on a candidate within 60 days of an election.... This is 400 plus days!
 
Why should a defendant be allowed to knowingly make a false statement?
That only applies to the trial itself where the defendant is under oath. I've heard of a judge imposing a gag order on the defendant not to talk about the case or the witnesses, but I've never heard of a judge literally imposing an order on a defendant not to tell any lies anywhere about anything. IOW, a defendant who knows he/she is guilty cannot, to the best of my knowledge, be denied the privilege of insisting that he/she is innocent, outside of the court room. Of course, anything he/she says can then be used against them in court, so it's to their benefit to say nothing.
 
It's case law. Look up Martha Stewart. One cannot insist on innocence in the furtherance of his criminal liability.

The Judge's gag order is perfectly legit and will be upheld on any appeal.

Also, it signals that the Judge will not allow "stolen election" as a defense tactic.
 
It's case law. Look up Martha Stewart. One cannot insist on innocence in the furtherance of his criminal liability.

The Judge's gag order is perfectly legit and will be upheld on any appeal.

Also, it signals that the Judge will not allow "stolen election" as a defense tactic.
I never did understand what they had against Stewart that shouldn't have landed a whole lot of people in prison.
 
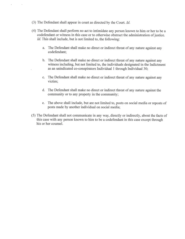
This is outright election interference. On his list of restrictions it says he can't make any false statements???
Such a restriction seems doubtful to me. Tried to look at the court order but only found what I've linked below. I don't see such restrictions listed and wonder if there is such bond condition pertain to another Trump case?

Page 1
Page 2
Page 3
 
Attempting to put Trump in jail would be a disaster for liberals. While it could placate the most rabid idiots on the left for a few days, most of whom post here, the overall optics would be ruinous. I say go for it.



So far I have seen ZERO crimes that affect anyone? All some made up BS paperwork violations or other. WHO was harmed? No one by Trump or Trump associates.
 
Here are Trump's conditions for bail

1692718790456.png


There is NO CONDITION THAT YOU'VE CLAIMED!

Nothing about lying....??

Who was your source? You DID NOT supply a link in your opening thread, (as required)!
 
Correct. Political figures inciting their minions to commit violence against their fellow citizens and adversaries... it's got to end.

And the judge's entirely righteous and correct admonitions and cautions directed against your Orange Piece-of-$hit aid in that effort.

Maxine or Kamel/joe & all MSM for recent examples.
 
So far I have seen ZERO crimes that affect anyone? All some made up BS paperwork violations or other. WHO was harmed? No one by Trump or Trump associates.
Exposing Secret information affects the whole country
Trying to steal an election affects the whole country
 
This is outright election interference. On his list of restrictions it says he can't make any false statements??? WTF??? False is more often than not a partisan opinion and nothing more. So the moment he says something somebody doesn't like all they have to do is call it a lie and he's gone .... The left has let a genie out of the bottle that cannot be controlled or even harnessed.
False statements can be easily proven to be false. Very easy to do in Trumps case as he spews false statements all the time.
 
I still believe the system works. It has flaws and was compromised in 2020 by people who understood those flaws. But the electoral system still works if the states can enact measured to beef up the integrity of it.


I am worried. The most recently turned STATE GOVT in COL NV AZ VA GA WI PA MI into willing COUP participants. They did nothing after 2020 and are doing little after 2022.

With already lost West and East Costs.........count the EV. I know. I suck. I'm a doomer.
 
Coming soon you Comme POS anti-American dishonest scum. one good.

the film may just prove to be the most definitive breakdown of not only how the rigged 2020 election was pulled off, but the human costs associated with the J6 prisoners and investigators that dared challenge the government-approved narrative.
 
Coming soon you Comme POS anti-American dishonest scum. one BAD!

14 major American cities are part of a globalist climate organization known as the “C40 Cities Climate Leadership Group,” which has an “ambitious target” by the year 2030 of “0 kg [of] meat consumption,” “0 kg [of] dairy consumption,” “3 new clothing items per person per year,” “0 private vehicles” owned, and “1 short-haul return flight (less than 1500 km) every 3 years per person.”
 
The rule of law turned on its' head. No bail for Violent Felonies but Bail for made up crimes. Criminals released 42-50 times over decades finally arrested for a savage murder. Prisons emptied over a phony flu scam. Prisons filled back up with anti-communists. and the loons cheer like sea lions laying on Pier 39. gut-churning.
 
15th post
The doj rule for them is no public moves by Doj on a candidate within 60 days of an election.... This is 400 plus days!
The first primary is 5 months away. And just as a reminder when the political season used to start.

On January 2, 1960, Kennedy formally announced that he would seek the Democratic presidential nomination in Washington, D.C., and stated that he would participate in multiple primaries, including New Hampshire.

That's the equivalent of January 2024 (not August 2023)
 
I am worried. The most recently turned STATE GOVT in COL NV AZ VA GA WI PA MI into willing COUP participants. They did nothing after 2020 and are doing little after 2022.

With already lost West and East Costs.........count the EV. I know. I suck. I'm a doomer.
I agree. You suck. You are a Trumper Cultist to be sure. There is nothing to indicate accusation true or false can jail (premise of the thread) your godfather trump. You have no faith in the system, or the courts, as it has been destroyed not by the government or "the system" of the "deep state", but by your Kool-Aid serving leader. If there is an accusation, it will undoubtedly be backed up by text, video and witnesses, before he is jailed pretrial, so take a Midal or a Pamprin and get hold of yourself. We do not feel your pain.
 
I still believe the system works. It has flaws and was compromised in 2020 by people who understood those flaws. But the electoral system still works if the states can enact measured to beef up the integrity of it.

I think there were ballot dumps in the inner cities of the swing states, all strongholds and controlled by the left, Philly had an unheard of 68% voter turnout in 2020, it's crazy. They will just simply do it again since they got away with it last time.
 

New Topics

Back
Top Bottom