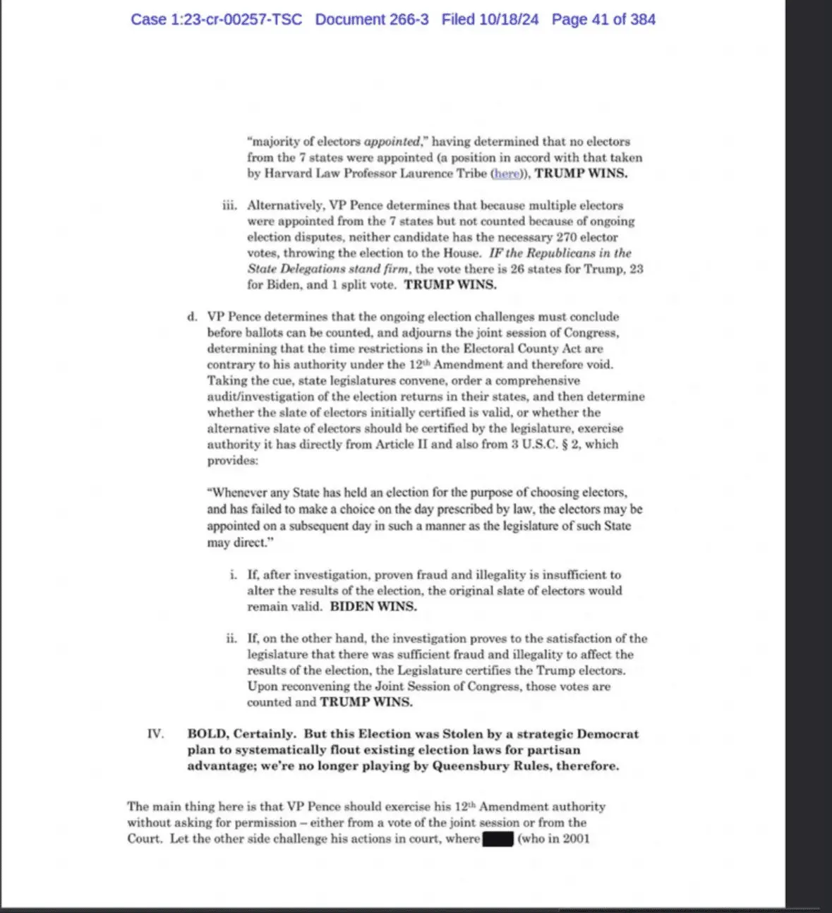
Judge releases trump's written plan to steal the election

Crepitus

Diamond Member
Joined
Mar 28, 2018
Messages
106,519
Reaction score
157,165
Points
3,615
They had it all planned in advance, and this has noting to do with his "official duties".

The trump supporters here will not read it, and will deny and poohoo it.

But here it is, in black and white.



1729350620587.webp


1729350680410.webp
 
And how does ANYBODY know for a FACT that this is legitimate?

And not ANOTHER SCAM, LIE, FRAUD the DNC has CREATED in order to get rid of Trump?

You got any HARD EVIDENCE to back that?
 
The only plan to steal an election that I see here is Chutkan's release of these documents right before an election. That's election tampering. MAGA
 
And how does ANYBODY know for a FACT that this is legitimate?

And not ANOTHER SCAM, LIE, FRAUD the DNC has CREATED in order to get rid of Trump?

You got any HARD EVIDENCE to back that?
It's been entered into evidence in court.

It would be pretty stupid for the prosecutor to submit it if it wasn't true. He could end up in prison himself.
 
Like everything else the DNC has attempted since 2016........

It will ALL blow up in their face. Like ALL their other frauds, scams, shams, and fraudulent accusations.

200w.gif
 
Back
Top Bottom