Weather disasters over the last year likely due to record ocean warming

What a buncha nonsense.
With the ice caps melting that "drink" will stay cold for quite a while.
Bring on the Billy Gates sunscreen program (insulated Cupsoft--second edition)
The oceans are not being chilled by the melting ice caps. They are accumulating heat at a ferocious pace and that heat is a good part of what is melting the poles.
 
The oceans are not being chilled by the melting ice caps. They are accumulating heat at a ferocious pace and that heat is a good part of what is melting the poles.
SHHHH ! Quit being logical !
 
The oceans are not being chilled by the melting ice caps. They are accumulating heat at a ferocious pace and that heat is a good part of what is melting the poles.
Which happens in every interglacial period.
 

In 2022, the world's oceans increased their heat content by TWENTY TIMES the total energy usage of the human race over the same period.
CLIMATE CRISIS 2022.gif
 
The oceans are not being chilled by the melting ice caps. They are accumulating heat at a ferocious pace and that heat is a good part of what is melting the poles.

But where is the evidence that anybody is caring? If nobody is caring, the science is moot.

Only those who tend to the hysterical are alarmed about melting ice caps. That's been so for many, many years. :bye1:

You see s0n...you might as well be sitting naked on a stool in eastern Siberia waving a banana at people.
 
n 2022, the world's oceans increased their heat content by TWENTY TIMES the total energy usage of the human race over the same period.

Mmmm ... warm water ...

depositphotos_75377447-stock-photo-sexy-blonde-sitting-in-ocean.webp
 
Once again, we get a claim completely inconsistent with the actual evidence....


If water is warming, there should be a massive breakout in canes. There is NOT. 2006-2016 was the weakest cane 10 year period ever.

1938 Cane that hit Homo's island was the last cat 5 to get that far north.



Is sea ice melting = NO

Is sea level rising = NO

Is Crick parroting fudged lies and billing the taxpayer -= YES
 
You should look up the referenced "studies".

They all have one thing in common. All based on models.

Yup, take raw data, run those numbers through a computer model and voila, as if by magi there is warming where none truly exists.
They likely make use of lots of computer time but they are NOT "based on models". They are based on direct measurements of ocean temperatures. From the linked study paper.

2. Data and methods Data are obtained from in situ measurements made available through the World Ocean Database. The instruments used to collect data include expendable bathythermographs (XBTs), Argo profiles (Argo, 2022), conductivity/temperature/depth instruments, mechanical bathythermographs (MBTs), bottles, moorings, and gliders (Boyer et al., 2018). Each of these instruments has an associated accuracy that may vary over time or with geographical location (Abraham et al., 2013; Cowley et al., 2021). Efforts have been made by the scientific community to improve the accuracy of these instruments. Although the source data are the same for the two groups, the gap-filling approach and many other data processing techniques are different. As an example, XBT biases have been corrected for IAP by Cheng et al. (2014) and for NCEI by Levitus et al. (2009). The newly available corrections for bottle and MBT data (Gouretski and Cheng, 2020; Gouretski et al., 2022) have not been incorporated; instead, MBT biases have been corrected for NCEI by Levitus et al. (2009) and for IAP by Ishii and Kimoto (2009). Besides, a reanalysis data is used for the Mediterranean Sea (CMS-MEDREA). The CMS-MEDREA assimilated XBT, CTD, Argo profiles, integrating data from CMS and SeaDataNet (SeaDataNet - SeaDataNet) and, CMS satellite along track sea level anomaly (Escudier et al., 2021). The 0–2000 m SC index is calculated as in Cheng et al. (2020) for each month (t) over the 3D (x, y, z) ocean salinity field:
1673791345746.png
, (1) where (x, y, z) are the three dimensions of latitude, longitude, and depth; Vhigh is the salinity averaged over high-salinity regions (Vhigh) where salinity is higher than the climatological global median Sclim; and Vlow is the salinity averaged over low-salinity regions (Vlow) where salinity is lower than the climatological global median Sclim. Sclim, Vhigh and Vlow are all determined on the basis of the climatological salinity field during 1960–2017. All data collected in the World Ocean Database (Boyer et al., 2018) are used to calculate the SC index, including real-time Argo observations. Ocean stratification is calculated as in Li et al. (2020a), computed as the squared buoyancy frequency:
1673791378679.png
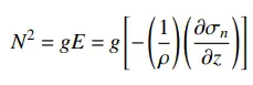
, (2) where , ρ and σn denote the sea water density, local potential g density anomaly, and gravitational acceleration, respectively; and N, the Brunt–Väisälä frequency, represents the intrinsic frequency of internal waves.

Now don't you feel stupid? All you had to do was actually take a look - just like you told me to do. Don't you get tired of embarrassing yourself like this?
 
Last edited:
But where is the evidence that anybody is caring? If nobody is caring, the science is moot.

Only those who tend to the hysterical are alarmed about melting ice caps. That's been so for many, many years. :bye1:

You see s0n...you might as well be sitting naked on a stool in eastern Siberia waving a banana at people.
True. Most people have more important things to worry about besides the survival of mankind. o_O
 
True. Most people have more important things to worry about besides the survival of mankind. o_O
Perhaps they fail to identify themselves as part of the affected group... ; - )
 
Fortunately, the people doing the studies I quote, DO know what they're talking about. You, on the other hand, don't seem to know anyone with a science education that agrees with you.
If they tell the truth they could lose their funding and have to get real jobs
 
They likely make use of lots of computer time but they are NOT "based on models". They are based on direct measurements of ocean temperatures. From the linked study paper.

2. Data and methods Data are obtained from in situ measurements made available through the World Ocean Database. The instruments used to collect data include expendable bathythermographs (XBTs), Argo profiles (Argo, 2022), conductivity/temperature/depth instruments, mechanical bathythermographs (MBTs), bottles, moorings, and gliders (Boyer et al., 2018). Each of these instruments has an associated accuracy that may vary over time or with geographical location (Abraham et al., 2013; Cowley et al., 2021). Efforts have been made by the scientific community to improve the accuracy of these instruments. Although the source data are the same for the two groups, the gap-filling approach and many other data processing techniques are different. As an example, XBT biases have been corrected for IAP by Cheng et al. (2014) and for NCEI by Levitus et al. (2009). The newly available corrections for bottle and MBT data (Gouretski and Cheng, 2020; Gouretski et al., 2022) have not been incorporated; instead, MBT biases have been corrected for NCEI by Levitus et al. (2009) and for IAP by Ishii and Kimoto (2009). Besides, a reanalysis data is used for the Mediterranean Sea (CMS-MEDREA). The CMS-MEDREA assimilated XBT, CTD, Argo profiles, integrating data from CMS and SeaDataNet (SeaDataNet - SeaDataNet) and, CMS satellite along track sea level anomaly (Escudier et al., 2021). The 0–2000 m SC index is calculated as in Cheng et al. (2020) for each month (t) over the 3D (x, y, z) ocean salinity field:
View attachment 747762, (1) where (x, y, z) are the three dimensions of latitude, longitude, and depth; Vhigh is the salinity averaged over high-salinity regions (Vhigh) where salinity is higher than the climatological global median Sclim; and Vlow is the salinity averaged over low-salinity regions (Vlow) where salinity is lower than the climatological global median Sclim. Sclim, Vhigh and Vlow are all determined on the basis of the climatological salinity field during 1960–2017. All data collected in the World Ocean Database (Boyer et al., 2018) are used to calculate the SC index, including real-time Argo observations. Ocean stratification is calculated as in Li et al. (2020a), computed as the squared buoyancy frequency: View attachment 747763 , (2) where , ρ and σn denote the sea water density, local potential g density anomaly, and gravitational acceleration, respectively; and N, the Brunt–Väisälä frequency, represents the intrinsic frequency of internal waves.

Now don't you feel stupid? All you had to do was actually take a look - just like you told me to do. Don't you get tired of embarrassing yourself like this?


Reanalysis is computer models. EVERY one of those studies is based on modeling.

They ALL have falsified the raw data to arrive at their conclusions.
 
15th post
Reanalysis is computer models. EVERY one of those studies is based on modeling.

They ALL have falsified the raw data to arrive at their conclusions.

First, I'd like to see a reputable source that agrees with your claim that reanalysis is modeling and then I'd very much like to see the evidence on which you base that charge of falsification. If you can't come up with either, you owe us a retraction and an apology for your lies.
 
First, I'd like to see a reputable source that agrees with your claim that reanalysis is modeling and then I'd very much like to see the evidence on which you base that charge of falsification. If you can't come up with either, you owe us a retraction and an apology for your lies.


Read the papers. They tell you what they do.

Do you even read the links you post?

I do.
 
Fortunately, the people doing the studies I quote, DO know what they're talking about. You, on the other hand, don't seem to know anyone with a science education that agrees with you.

I guess the laws of physics stop at the AGW Cult. How can you blame mankind if the oceans heat have increased by more than...oh it's just ridiculous to talk about it. You post nonsense
 

New Topics

Back
Top Bottom