FBI “corrects” crime data. It did not drop 2.1%, it rose 4.5% in 2022.

theHawk

Registered Conservative
Joined
Sep 20, 2005
Messages
64,110
Reaction score
74,236
Points
3,605
Location
Arizona
But, but, but, we were told over and over that crime is down thanks to Biden.


Turns out they were fudging the numbers all along and then try to correct the numbers years later.




We can only assume they are lying about more recent years and won’t correct them until well after the election.


 
Last edited:
We saw the largest increase in murder in the history of our records under Trump. We saw one of the largest decreases in murder under Biden.
You are nobody and you consistently lie. Off to ignore land for you. Nobody should give any attention to your posts.
 
But, but, but, we were told over and over that crime is down thanks to Biden.


Turns out they were fudging the numbers all along and then try to correct the numbers years later.




We can only assume they are lying about more recent years and won’t correct them until well after the election.

Why do we always get Xcretions instead of the original data?

#FAKENEWS
 
But, but, but, we were told over and over that crime is down thanks to Biden.


Turns out they were fudging the numbers all along and then try to correct the numbers years later.




We can only assume they are lying about more recent years and won’t correct them until well after the election.

Did this come from the FBI or a right wing site?
 
BS OP.

Fringe twitter accounts claim all sorts of things.
LOL.



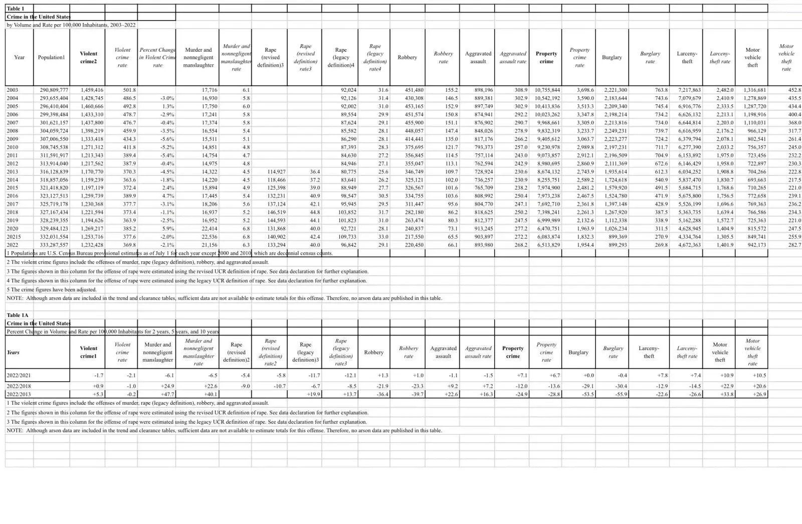
Here is the new raw data drop:

Here is the original data:
IMG_7663.webp


All the data comes from this government site:
 
LOL.



Here is the new raw data drop:

Here is the original data:
View attachment 1027001

All the data comes from this government site:
When are you going to post a legit source?
 
We saw the largest increase in murder in the history of our records under Trump. We saw one of the largest decreases in murder under Biden.
Yea, when Democrats rioted in every major city for months and months after Saint Floyd.

“But, but, but, it’s all Drumpf’s fault.”

If he had deployed national guard to deal with the rioters in states where Dem governors refused to do anything, you all would had screamed racism and “fascism” of course.

We know when he wins, you will all riot again and he will be required to use national guard then you will use it as an excuse to impeach him or something.
 
Yea, when Democrats rioted in every major city for months and months after Saint Floyd.

“But, but, but, it’s all Drumpf’s fault.”

If he had deployed national guard to deal with the rioters in states where Dem governors refused to do anything, you all would had screamed racism and “fascism” of course.

We know when he wins, you will all riot again and he will be required to use national guard then you will use it as an excuse to impeach him or something.
Gotcha. Trump is a failure.
 
But, but, but, we were told over and over that crime is down thanks to Biden.


Turns out they were fudging the numbers all along and then try to correct the numbers years later.




We can only assume they are lying about more recent years and won’t correct them until well after the election.



The FBI was corrupted by the obama/biden/harris junta

If Trump wins he will need to clean house in the next 4 years
 
15th post
It's more credible than Trump just saying shit without anything backing it up.
When an organization that is supposed to get it right and be trusted "finds" murders years after the fact, it is a problem. It simply doesn't matter who they're compared to, they're not doing a great job. Unless, of course, you're trying to make the case that disappearances are being found to murders years later on that scale.
 
But, but, but, we were told over and over that crime is down thanks to Biden.


Turns out they were fudging the numbers all along and then try to correct the numbers years later.




We can only assume they are lying about more recent years and won’t correct them until well after the election.



For the love of God, if you are going to lie to get Kamala elected why admit to it right before the election?

Let me guess, the head of the FBI has dementia like Joe now.
 

New Topics

Back
Top Bottom