*Biden Sent The Goons To Mar-Largo*

You’re quite verbose. Seriously, you need to drive for brevity.

Kash saying it doesn’t make it so. On that we agree. But I don’t believe there is any fair basis to say that Kash is dishonest.

I don’t care why they may or may not choose to believe it. Their belief doesn’t constitute evidence.

And the government damn well knew what documents (which are all labeled and recorded) said. Your contrary claim is make believe.

Your argument about the immediacy issue is wordplay. The point remains that there was no rush and no perceived need for any rush. And you can’t point to any such alleged need.
Whether Kash is honest or dishonest isn’t the point. The point is that we don’t know if he was honest or dishonest. That’s what makes his statement useless. It can’t be used to determine if those documents are classified or not.

And no, the government didn’t know what documents were retained by Trump. The record keeping for these documents was clearly substandard.

National security is the reason to get the documents back. As for a rush, they really didn’t rush given they started asking for these documents early in 2021 and didn’t raid his house until late 2022.

You claim that they just needed to wait longer for ongoing negotiations, which is clearly wrong given that Trump’s lawyers claimed that they had resolved the matter by turning all his documents over.
 
Whether Kash is honest or dishonest isn’t the point. The point is that we don’t know if he was honest or dishonest.
As I already noted.
That’s what makes his statement useless.
False. It makes his statement presently unsupported.
It can’t be used to determine if those documents are classified or not.
Of course it can. If witness KP at trial testified that he was present when defendant T said something in issue, the fact that T said it has now been attested to. So, it’s now in issue. Because if T said it, that’s all that’s legally required when T has the authority to make it so. This puts the burden on the United States to disprove it beyond a reasonable doubt.

Try to keep in mind, the defendant doesn’t have the burden of proof. The US has that. Once that matter is “in issue,” the US has the legal obligation to disprove it beyond a reasonable doubt.
And no, the government didn’t know what documents were retained by Trump. The record keeping for these documents was clearly substandard.
Nonsense. The government keeps records. They know or are supposed to know each such document.
National security is the reason to get the documents back.

Nope. Not if they aren’t classified.
As for a rush, they really didn’t rush given they started asking for these documents early in 2021 and didn’t raid his house until late 2022.
You keep using the word rush. I keep using the term urgency. Very different in this context. There simply was no urgency.
You claim that they just needed to wait longer for ongoing negotiations, which is clearly wrong given that Trump’s lawyers claimed that they had resolved the matter by turning all his documents over.
It’s not clearly wrong. It’s not wrong at all. The government is the party that claimed that Trump’s lawyers were wrong. Ok. Maybe so. But still zero urgency.
 
Not Republicans, I mean Trumpists. A cult of the idiots who have taken over the Republican party temporarily.
Republicans, in other words. You keep making the mistake of thinking that Republicans believe the same nonsense you believe.
 
Republicans, in other words. You keep making the mistake of thinking that Republicans believe the same nonsense you believe.
Many Republicans certainly do not believe what Trumpists believes. They are the hard-core civil libertarian small government members of the party.
 
Many Republicans certainly do not believe what Trumpists believes. They are the hard-core civil libertarian small government members of the party.
Trump is a civil libertarian who favors small government, dumb ****. Trump is the most conservative president we've had since Reagan.
 
Trump is a civil libertarian who favors small government, dumb ****. Trump is the most conservative president we've had since Reagan.
I can see why you were always in the corner in the classroom. Trump is a fascist one-man rule who accepts all glory and no responsibility when matters go wrong. He is no civil libertarian. He is asking his attorneys if he is elected again how to get death sentences against his enemies. You are so far beyond normal small government leave people alone that you stand out like a tree far to the right on an empty plain.
 
I can see why you were always in the corner in the classroom. Trump is a fascist one-man rule who accepts all glory and no responsibility when matters go wrong.
I can see why everyone thinks you're an imbecile.

He is no civil libertarian.
Sure he is.

He is asking his attorneys if he is elected again how to get death sentences against his enemies.
You have some evidence for this claim?

You are so far beyond normal small government leave people alone that you stand out like a tree far to the right on an empty plain.
I know I am a radical, but what does that prove about Trump? Your claims about him are obvious lies.
 
False. It makes his statement presently unsupported.
An unsupported statement is useless.
Of course it can. If witness KP at trial
Stop right there. This isn't about a trial which doesn't even exist. Irrelevant.
Nonsense. The government keeps records. They know or are supposed to know each such document.
It comes as no surprise that Trump's administration wasn't very good about keeping records.
Nope. Not if they aren’t classified.
They were classified at one time because disclosure of the information had the potential to threaten national security, by definition. Whether Trump disclosed classified information or whether he disclosed information that he declassified, it is still a threat to national security.
You keep using the word rush. I keep using the term urgency. Very different in this context. There simply was no urgency.
Actually you used the word rush.
It’s not clearly wrong. It’s not wrong at all. The government is the party that claimed that Trump’s lawyers were wrong. Ok. Maybe so. But still zero urgency.
You are clearly wrong. You can't claim that there were active negotiations when Trump's lawyers indicated they complied with the subpoena to turn over all documents. What were they negotiating over? They claimed they had turned over everything. Your claim of ongoing negotiations is false.
 
I can see why everyone thinks you're an imbecile.


Sure he is.


You have some evidence for this claim?


I know I am a radical, but what does that prove about Trump? Your claims about him are obvious lies.
You don't post evidence but ask for it? Nope.
You are no radical, just a far gone nihilist.
Yell all you want. It's entertaining.
 
An unsupported statement is useless.
Take that to heart before posting. 👍
Stop right there. This isn't about a trial which doesn't even exist. Irrelevant.
I’ll continue right here. This is about whatever we make it about as the discussion proceeds. You should know that.
It comes as no surprise that Trump's administration wasn't very good about keeping records.
Irrelevant.
They were classified at one time because disclosure of the information had the potential to threaten national security, by definition.
Theoretically. Yes. So what?
Whether Trump disclosed classified information or whether he disclosed information that he declassified, it is still a threat to national security.
According to your own say so. But your say so isn’t worth a thing particularly since you don’t know the subject matter of the material.
Actually you used the word rush.
We all use lots of words. Even you.
You are clearly wrong.
So you maintain. But of course, you’re wrong
You can't claim that there were active negotiations when Trump's lawyers indicated they complied with the subpoena to turn over all documents.
Not only can I so claim. I did. And it stands.
What were they negotiating over? They claimed they had turned over everything.
No. I don’t believe so. Provide an accurate quote and link.
Your claim of ongoing negotiations is false.
Your denial is false.
 
But your say so isn’t worth a thing particularly since you don’t know the subject matter of the material.
No one knew the subject matter, which is why the DoJ needed to obtain all the documents from Trump to determine any risks to national security. That's why the Biden administration granted access, which is the topic here.
Provide an accurate quote and link.
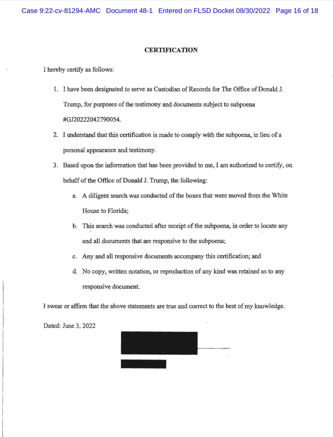
Attachment E.

Trump's lawyers claimed everything had been turned over. So your claim that there was ongoing negotiation is illogical and unsupported.
 
No one knew the subject matter, which is why the DoJ needed to obtain all the documents from Trump to determine any risks to national security.
Silly you. :itsok: Of course people knew the subject matter. The documents have designations so that our vaunted intelligence agencies can keep track of exactly that.
That's why the Biden administration granted access, which is the topic here.
No. That’s not why the Brandon Administration granted access. The request was made and the President granted it for the National Archives to get better access. But that doesn’t mean (ala the crazy Nancy Pelosi view of reality you seem to share) that the government had to obtain physical possession of the documents to know why it had previously marked some of them as classified.
Attachment E.

Trump's lawyers claimed everything had been turned over. So your claim that there was ongoing negotiation is illogical and unsupported.
False. His lawyers claimed that certain materials had been turned over. The information was made based on what the custodian of records had been advised.
The diligent search may have been faulty.

IMG_0430.webp

But if you’d bother to read carefully (and if you could comprehend what you read), you likely wouldn’t make such overly broad silly statements as you so often do.
 
Silly you. :itsok: Of course people knew the subject matter. The documents have designations so that our vaunted intelligence agencies can keep track of exactly that.
No, they didn't know the subject matter because they did not know the totality of what documents Trump had taken with him. Once the DoJ recovered the documents, then they could assess any threat to national security.
No. That’s not why the Brandon Administration granted access. The request was made and the President granted it for the National Archives to get better access. But that doesn’t mean (ala the crazy Nancy Pelosi view of reality you seem to share) that the government had to obtain physical possession of the documents to know why it had previously marked some of them as classified.
This isn't about physical access. By law, the DoJ needed permission from the president to access any information about the records from NARA.
False. His lawyers claimed that certain materials had been turned over. The information was made based on what the custodian of records had been advised.
The diligent search may have been faulty.
The materials they claimed had been turned over were any materials with classification markings. The DoJ developed evidence that the search wasn't faulty, but that the Trump lawyers were lying.
 
15th post
No, they didn't know the subject matter because they did not know the totality of what documents Trump had taken with him.
Again: they absolutely knew. Your ignorance is on full display.
Once the DoJ recovered the documents, then they could assess any threat to national security.
Absolute nonsense. “We have to pass the bill to know what’s in it” type “thinking.”
This isn't about physical access. By law, the DoJ needed permission from the president to access any information about the records from NARA.
Have that attempted sentence taken outside and shot. The permission needed from the President was supposed to be limited to the current work of the White House. The archivist “needed” it (maybe). But Brandon just wanted to enable DOJ to get the search warrant. That point is clear.
The materials they claimed had been turned over were any materials with classification markings. The DoJ developed evidence that the search wasn't faulty, but that the Trump lawyers were lying.
Nonsense.
 
Sorry bout that,

1. So where is the shredding of Biden on all News Channels?
2. He was on record saying he did not send the goons.
3. And now, the truth comes out.
4. Lookie Here:

5. Libtards heads spinning. lol!!!!

Regards,
SirJamesofTexas

Your thread title refers to FBI agents, acting on a duly signed search warrant authorized by a federal judge, after reviewing the evidence, as "goons".

If you consider the D0J and the FBI, and the US court system, as goons, you must be a criminal, or consort with criminal types.
 
Again: they absolutely knew. Your ignorance is on full display.

Absolute nonsense. “We have to pass the bill to know what’s in it” type “thinking.”

Have that attempted sentence taken outside and shot. The permission needed from the President was supposed to be limited to the current work of the White House. The archivist “needed” it (maybe). But Brandon just wanted to enable DOJ to get the search warrant. That point is clear.

Nonsense.

You think if you throw enough shit against the wall, some of it will stick.
 
Back
Top Bottom