Follow along with the video below to see how to install our site as a web app on your home screen.
Note: This feature may not be available in some browsers.
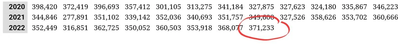
Good grief! How many times do you need to be told ?
Trump's last month was 344 Million Barrels/mo
Biden's last month was 277
Do the math > 67 Million Barrels difference ......aka NOSEDIVE
How do you know what production is now ? Latest EIA report is August 2022.

Says WHO ? Joe Lyin?
![]()
NY Times report that Biden is exaggerating his economic wins
You heard right. None other than the ultra-Left, say anything for a Democrat, New York Times has published a report grilling Biden, for making exaggerations about his successes on the economy. Times reporters Alan Rappeport and Jim Tankersley published a piece on Friday titled, "As Elections...www.usmessageboard.com
And still, you are incapable of showing the distortion. Facts are facts. Does it never dawn on you that you might make real points by dealing with real facts?Dipshit. Your links are to a FoxNews Opinion that distorts the NYT article. Sign. You guys are fooled so easily.
Good grief! How many times do you need to be told ?
Trump's last month was 344 Million Barrels/mo
Biden's last month was 277
Do the math > 67 Million Barrels difference ......aka NOSEDIVE
How do you know what production is now ? Latest EIA report is August 2022.
It's at last as good as your FAKE "data" Biden concoctions.
![]()
NY Times report that Biden is exaggerating his economic wins
You heard right. None other than the ultra-Left, say anything for a Democrat, New York Times has published a report grilling Biden, for making exaggerations about his successes on the economy. Times reporters Alan Rappeport and Jim Tankersley published a piece on Friday titled, "As Elections...www.usmessageboard.com
You know the answer. > He, and all other Republicans, were scammed by Fauci et al, only initially, when Covid peaked in April 2020. By July, they caught on to the ruse, opened the economy in red states, and GDP soared to 33.8% (3rd quarter2020)
See Post # 230
Trump didn’t turn over those peak numbers he let half the rigs shut down in those last two years and then passed that over to Biden who has built on them every year. You are simply a cheerleader with no intent to handle truth.
Especilly today when the statistics he's quoting are BIDEN statistics, which come from US govt departments which Biden controls.
Does anybody believe these job #s ? Does anybody believe that the GDP just rose 2.6% as is claimed ? That number comes from the BEA, which is part of the US Dept of Commerce - part of BIDEN's cabinet, which he controls. And the dude is America's # 1 scammer.
HA HA. "Trump" did not lose 22 million jobs, or ANY jobs, the people (Democrats) who rode the pandemic shutdowns as a way to smear Trump, and try to take away his top campaign talking point - his good economy. They (including Pelosi) are the ones who lost 22 million jobs.
Specifically please, how does any governor control the cost of renting a home?Yet you'll vote for DeSantis despite your constant bitching about your rent going up.![]()
Specifically please, how does any governor control the cost of renting a home?
It's a state issue, and when he was president, we didn't have a problem yet.
What is Kathy Hochul and Gavin Newsome doing about it ?
I thought trump was his own man. What did he do about your rent control?
/----/ The last line of your post says it all: The unemployment rate was 3.6%, unchanged from May and in line with estimates. So how is Joe creating jobs?Jobs Joe is at it again. The economy is much stronger than people are crediting. Recession fears are admittedly high but job growth doesn’t show any signs of letting up. Fingers crossed supply chain pulls us out of the single issue of costs.
![]()
Payrolls increased 372,000 in June, more than expected, as jobs market defies recession fears
Nonfarm payrolls were expected to increase by 250,000 in June, according to Dow Jones estimates.www.cnbc.com
Job growth accelerated at a much faster pace than expected in June, indicating that the main pillar of the U.S. economy remains strong despite pockets of weakness.
Nonfarm payrolls increased 372,000 in the month, better than the 250,000 Dow Jones estimate and continuing what has been a strong year for job growth, according to data Friday from the Bureau of Labor Statistics.
The unemployment rate was 3.6%, unchanged from May and in line with estimates.
Show me a single month pre-pandemic under Trump where we imported less oil than last month under Biden. Answer is none. Biden has us importing less than Trump. Truly more independent now than under Trump.![]()
Trump Just Achieved What Every President Since Nixon Had Promised: Energy Independence
Energy Security: Last week, the U.S. exported more oil than we imported, for the first time in 70-plus years. And it happened not because of decades of federal "energy policies," but despite them.
- 04:37 PM ET 12/07/2018
[...]
![]()
Trump Just Achieved What Every President Since Nixon Had Promised: Energy Independence
Last week, the U.S. exported more oil than we imported, achieving energy independence for the first time in 70-plus years. It happened not because of decades of federal "energy policies," but despite them.www.investors.com
Unemployment rate just INCREASED - from 3.5% to 3.7%
They track jobs. The number of jobs available went up. Employment rate doesn’t track jobs. It tracks workers with jobs. Those went up too but since more people are entering the workforce the rate stayed the same. It’s undisputed whether we’ve added jobs. We have. Millions./----/ The last line of your post says it all: The unemployment rate was 3.6%, unchanged from May and in line with estimates. So how is Joe creating jobs?
These are just filling jobs lost during the pandemic. They aren't newly created jobs.
/----/ Actually, it can very easily. My family owned a home in Huntington, NY that had two legal apartments. The rent covered the taxes and insurance for my sister and BIL who lived there. The morons in Town Hall decided to add a rental application and inspection fee that was renewed every year. This made the rents go up enough that it became tougher to rent the apartments, Tenants moved to a nearby town that didn't have the fees. A lot of fixed-income homeowners were hurt because they lost rental income.Specifically please, how does any governor control the cost of renting a home?
/----/ CNBC says otherwise. But nice try. The unemployment rate moved higher to 3.7%, while a broader jobless measure also increased, to 6.8%They track jobs. The number of jobs available went up. Employment rate doesn’t track jobs. It tracks workers with jobs. Those went up too but since more people are entering the workforce the rate stayed the same. It’s undisputed whether we’ve added jobs. We have. Millions.
I let both of you slide on the oil production numbers.
The real Trump #s would be immensely higher, if we extended the graph line of Trump's rising numbers as they were going before the pandemic drop.